| Обозначение: |  ГОСТ Р 56457-2015 |
| Статус: | действующий |
| Название рус.: | Телевидение вещательное цифровое. Интегрированный приемник-декодер системы спутникового цифрового телевизионного вещания второго поколения (DVB-S2). Методы измерений |
| Дата актуализации текста: | 01.01.2021 |
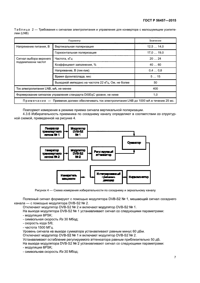
| Дата актуализации описания: | 01.07.2023 |
| Дата издания: | 28.04.2020 |
| Дата введения: | 01.09.2015 |
| Код ОКП: | 657400 |
| Нормативные ссылки: | ГОСТ 12.3.019; ГОСТ 15150; ГОСТ 32134.1; ГОСТ Р 52592 |
| Область применения: | Настоящий стандарт распространяется на интегрированные приемники-декодеры системы спутникового цифрового телевидения DVB-S2, предназначенные для профессионального приема, демодуляции и декодирования сигнала DVB-S2. Стандарт устанавливает методы измерений основных параметров интегрированных приемников-декодеров. Требования настоящего стандарта следует учитывать при разработке, изготовлении и эксплуатации интегрированных приемников-декодеров |
|