| Обозначение: |  ГОСТ 19917-2014 |
| Статус: | действующий |
| Название рус.: | Мебель для сидения и лежания. Общие технические условия |
| Дата актуализации текста: | 01.01.2021 |
| Дата актуализации описания: | 01.07.2023 |
| Дата регистрации: | 05.12.2014 |
| Дата издания: | 09.10.2020 |
| Дата введения: | 01.01.2016 |
| Код ОКП: | 560000 |
| Взамен: | ГОСТ 19917-93 |
| Нормативные ссылки: | ГОСТ 9.072; ГОСТ 12.1.007; ГОСТ 12.1.044; ГОСТ 2140; ГОСТ 3916.1; ГОСТ 3916.2; ГОСТ 4598; ГОСТ 5244; ГОСТ 6449.1; ГОСТ 6449.2; ГОСТ 6449.3; ГОСТ 6449.4; ГОСТ 6449.5; ГОСТ 8904; ГОСТ 12029; ГОСТ 13025.1; ГОСТ 13025.2; ГОСТ 14314; ГОСТ 16371; ГОСТ 16504; ГОСТ 16854; ГОСТ 16855; ГОСТ 17340; ГОСТ 17524.2; ГОСТ 19120; ГОСТ 19178; ГОСТ 19194; ГОСТ 19301.2; ГОСТ 19301.3; ГОСТ 19918.3; ГОСТ 20400; ГОСТ 21640; ГОСТ 22046; ГОСТ 22359; ГОСТ 23381; ГОСТ 26003; ГОСТ 26682; ГОСТ 26756; ГОСТ 26800.2; ГОСТ 26800.3; ГОСТ 27935; ГОСТ 28246; ГОСТ 28777; ГОСТ 30108; ГОСТ 30210; ГОСТ 30211; ГОСТ 30255; ГОСТ 32274; ГОСТ 33795; ГОСТ 34039; ГОСТ 34040; ГОСТ 34041; ГОСТ 34042;ГОСТ ЕN 581-1; ГОСТ ЕN 581-2;ГОСТ EN 1021-1;ГОСТ EN 1022;ГОСТ EN 1728;ГОСТ EN 15338; ГОСТ ISO 16000-6 |
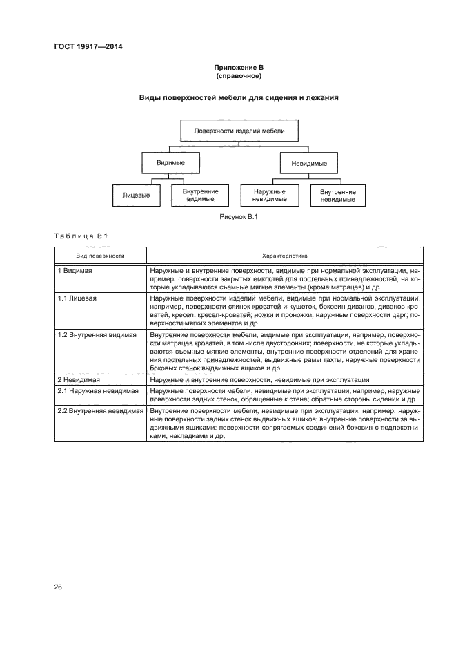
| Область применения: | Настоящий стандарт распространяется на бытовую мебель для сидения и лежания и мебель для общественных помещений, выпускаемую предприятиями (организациями) любых форм собственности, а также индивидуальными изготовителями |
| Список изменений: | №0 от 28.10.2015 (рег. 28.10.2015) «Дата введения перенесена» |
| Приложение №1: | Изменение №1 к ГОСТ 19917-2014 |
| Приложение №2: | Поправка к ГОСТ 19917-2014 |
|