| Обозначение: |  ГОСТ Р ИСО 16809-2015 |
| Статус: | действующий |
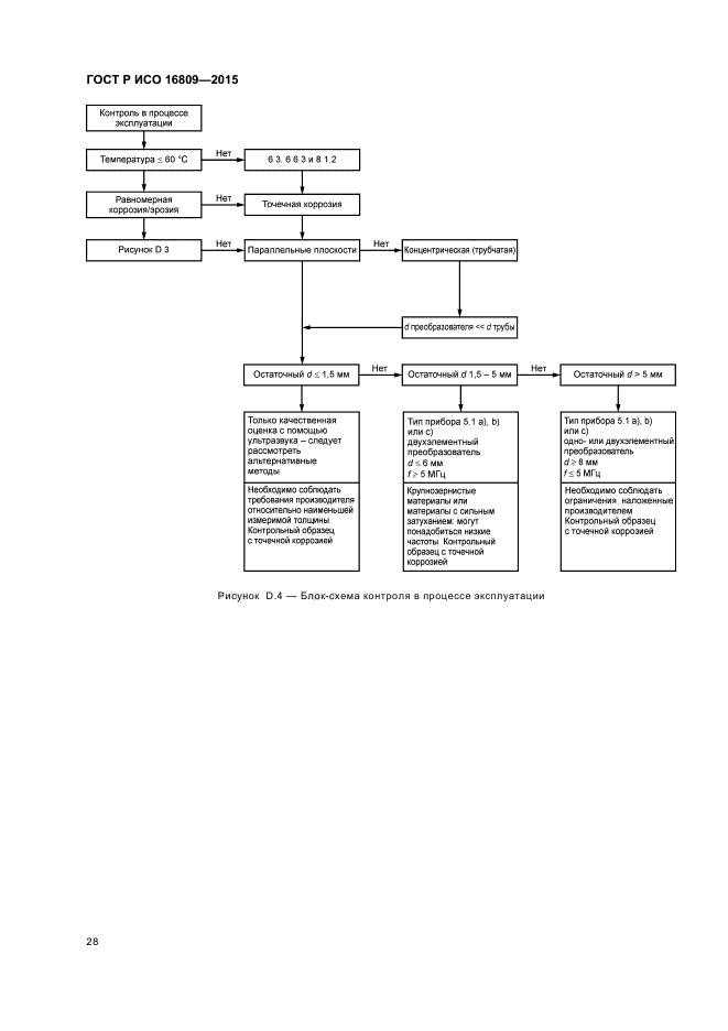
| Название рус.: | Контроль неразрушающий. Контроль ультразвуковой. Измерение толщины |
| Дата актуализации текста: | 26.02.2016 |
| Дата актуализации описания: | 01.01.2026 |
| Дата издания: | 15.07.2019 |
| Дата введения: | 01.03.2016 |
| Дата окончания срока действия: | 11.03.2026 |
| Аутентичен стандартам: | ISO 16809:2012 |
| На территории РФ пользоваться: | ГОСТ ISO 16809-2022 |
| Нормативные ссылки: | ISO 5577;ISO 16811;EN 1330-4 |
| Область применения: | Настоящий стандарт устанавливает принципы ультразвукового измерения толщины металлических и неметаллических материалов на основе измерения времени прохождения ультразвуковых импульсов |
|