| Обозначение: |  ГОСТ Р 52141-2003 |
| Статус: | отменён |
| Название рус.: | Кетчупы. Общие технические условия |
| Название англ.: | Ketchups. General specifications |
| Дата актуализации текста: | 06.04.2015 |
| Дата актуализации описания: | 01.07.2023 |
| Дата издания: | 01.07.2008 |
| Дата введения: | 01.11.2004 |
| Дата окончания срока действия: | 15.02.2015 |
| Код ОКП: | 916240;916213 |
| На территории РФ пользоваться: | ГОСТ 32063-2013 |
| Нормативные ссылки: | ГОСТ 21-94; ГОСТ 61-75; ГОСТ 1129-93; ГОСТ 1723-86; ГОСТ 3343-89; ГОСТ 5717-91; ГОСТ 5981-88; ГОСТ 6968-76; ГОСТ 7587-71; ГОСТ 7825-96; ГОСТ 7977-87; ГОСТ 8756.1-79; ГОСТ 8756.18-70; ГОСТ 8808-2000; ГОСТ 10117.2-2001; ГОСТ 10444.1-84; ГОСТ 10444.12-88; ГОСТ 10444.15-94; ГОСТ 13799-81; ГОСТ 13908-68; ГОСТ 14192-96; ГОСТ 14260-89; ГОСТ 16729-71; ГОСТ 25555.0-82; ГОСТ 25555.3-82; ГОСТ 25749-83; ГОСТ 26181-84; ГОСТ 26186-84; ГОСТ 26313-84; ГОСТ 26668-85; ГОСТ 26669-85; ГОСТ 26670-91; ГОСТ 26671-85; ГОСТ 26927-86; ГОСТ 26929-94; ГОСТ 26930-86; ГОСТ 26932-86; ГОСТ 26933-86; ГОСТ 26935-86; ГОСТ 28038-89; ГОСТ 28467-90; ГОСТ 28562-90; ГОСТ 29185-91; ГОСТ 29270-95; ГОСТ 30178-96; ГОСТ 30349-96; ГОСТ 30425-97; ГОСТ 30538-97; ГОСТ 30669-2000; ГОСТ 30670-2000; ГОСТ 30710-2001; ГОСТ Р 8.579-2001; ГОСТ Р 50474-93; ГОСТ Р 50480-93; ГОСТ Р 51301-99; ГОСТ Р 51574-2000; ГОСТ Р 51766-2001; ГОСТ Р 51962-2002; ГОСТ Р 52052-2003;ОСТ 10-33-87 |
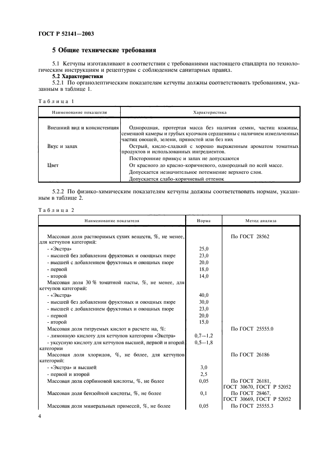
| Область применения: | Настоящий стандарт распространяется на кетчупы, представляющие собой соусы, изготовленные из свежих томатов или томатных продуктов с добавлением фруктовых и/или овощных полуфабрикатов, различных вкусовых и пряно-ароматических компонентов, загустителей, стабилизаторов, сахарозаменителей, пищевых ароматизаторов и красителей, консервантов или без них, предназначенные для реализации в розничной торговой сети и использования на предприятиях общественного питания |
| Список изменений: | №0 от 15.02.2015 (рег. 27.06.2013) «Текстовое изменение; Изменено заглавие» |
|