| Обозначение: |  ГОСТ 9816.5-2014 |
| Статус: | действующий |
| Название рус.: | Теллур технический. Метод атомно-абсорбционного анализа |
| Название англ.: | Tellurium technical. Method of atomic-absorptive analysis |
| Дата актуализации текста: | 01.08.2015 |
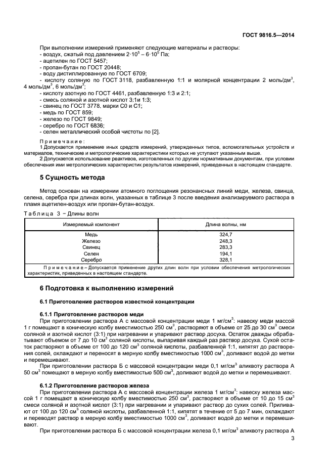
| Дата актуализации описания: | 01.07.2023 |
| Дата регистрации: | 14.11.2014 |
| Дата издания: | 07.04.2015 |
| Дата введения: | 01.01.2016 |
| Взамен: | ГОСТ 9816.5-84 |
| Нормативные ссылки: | ГОСТ Р ИСО 5725-1-2002; ГОСТ Р 53228-2008; ГОСТ 859-2001; ГОСТ 1770-74; ГОСТ 3118-77; ГОСТ 3778-98; ГОСТ 4461-77; ГОСТ 5457-75; ГОСТ ИСО 5725-6-2002; ГОСТ 6709-72; ГОСТ 6836-2002; ГОСТ 9816.0-2014; ГОСТ 9849-86; ГОСТ 20448-90; ГОСТ 24104-2001; ГОСТ 25336-82; ГОСТ 29169-91; ГОСТ 29227-91 |
| Область применения: | Настоящий стандарт устанавливает методику измерений массовой доли меди, железа, свинца, селена, серебра в техническом теллуре методом атомно-абсорбционной спектроскопии |
|