Скачать ГОСТ 22701.6-79 Плиты железобетонные ребристые предварительно напряженные размерами 6х3 м под нагрузки свыше 9,81 кПа (1000 кгс/м2) для покрытий производственных зданий. Технические условияДата актуализации: 01.06.2025 ГОСТ 22701.6-79
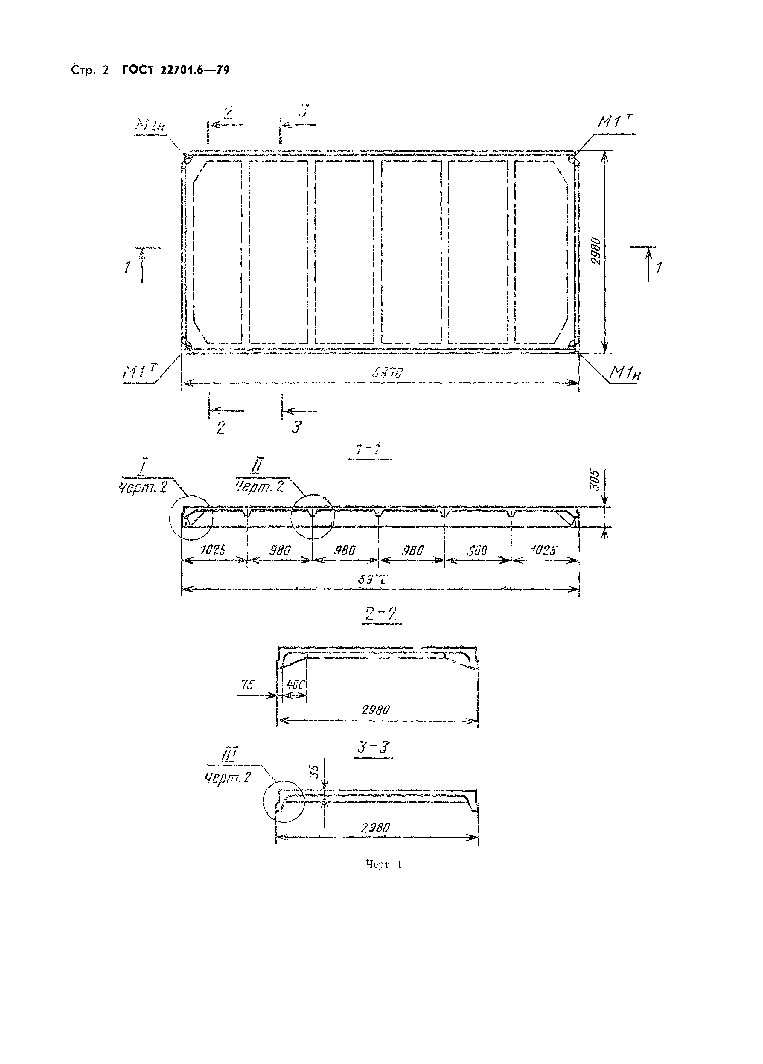
Плиты железобетонные ребристые предварительно напряженные размерами 6х3 м под нагрузки свыше 9,81 кПа (1000 кгс/м2) для покрытий производственных зданий. Технические условия
| Обозначение: |  ГОСТ 22701.6-79 |
| Статус: | не действует в РФ |
| Название рус.: | Плиты железобетонные ребристые предварительно напряженные размерами 6х3 м под нагрузки свыше 9,81 кПа (1000 кгс/м2) для покрытий производственных зданий. Технические условия | | Дата актуализации текста: | 06.04.2015 | | Дата актуализации описания: | 01.06.2019 | |
                       
|