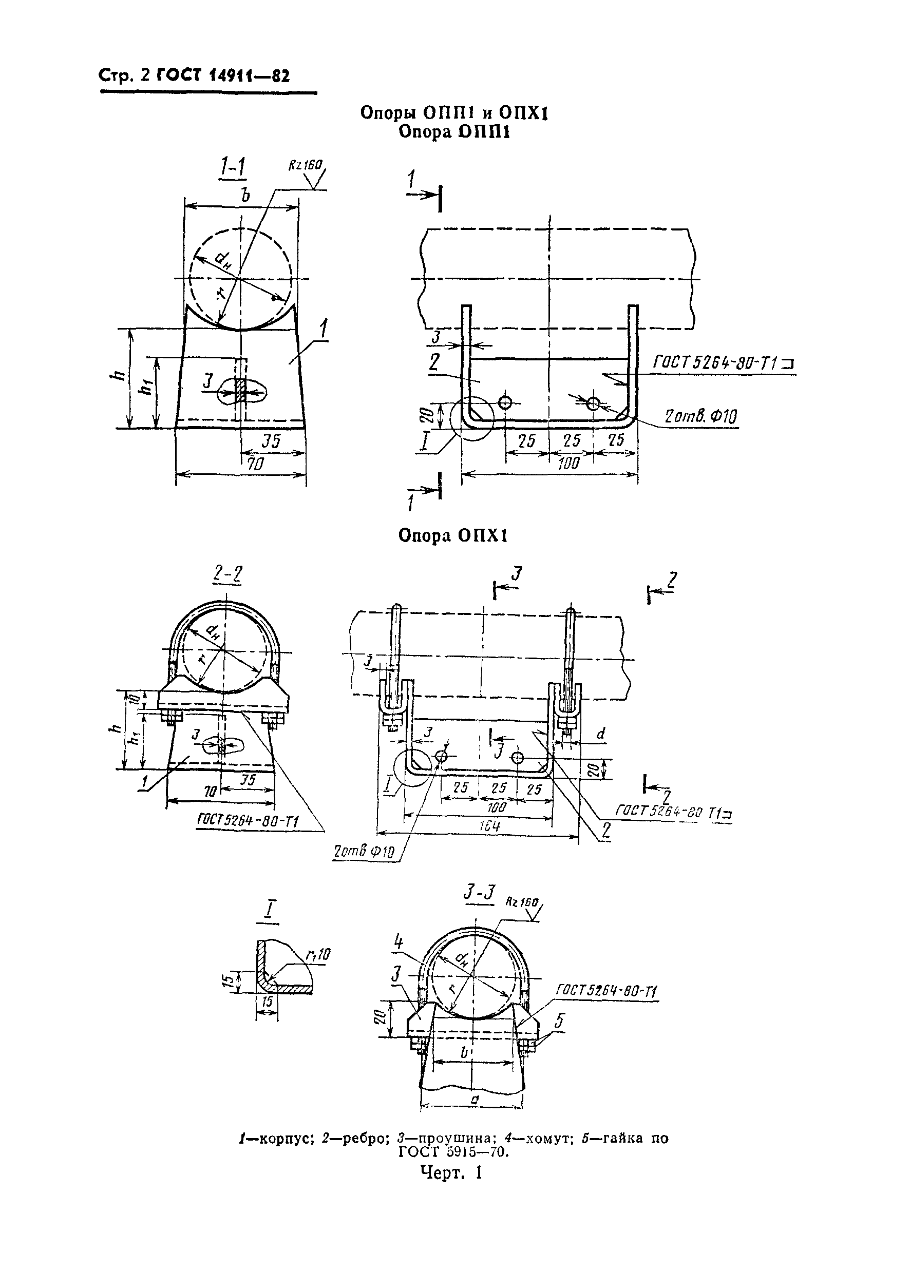
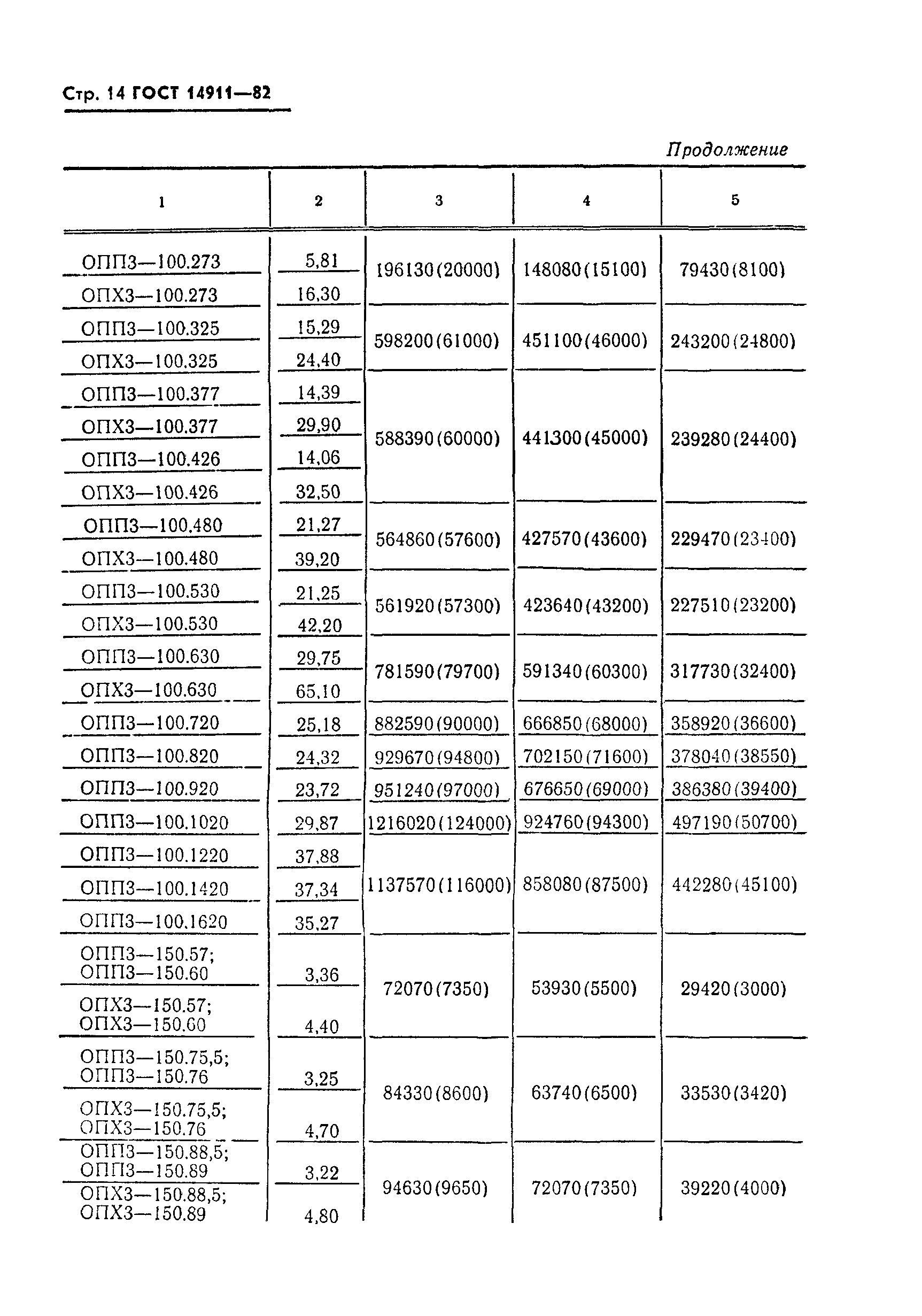
Скачать ГОСТ 14911-82 Детали стальных трубопроводов. Опоры подвижные. Типы и основные размерыДата актуализации: 01.06.2025 ГОСТ 14911-82
Детали стальных трубопроводов. Опоры подвижные. Типы и основные размеры
| Обозначение: |  ГОСТ 14911-82 |
| Статус: | не действует в РФ |
| Название рус.: | Детали стальных трубопроводов. Опоры подвижные. Типы и основные размеры | | Дата актуализации текста: | 06.04.2015 | | Дата актуализации описания: | 01.06.2019 | |
                 
|