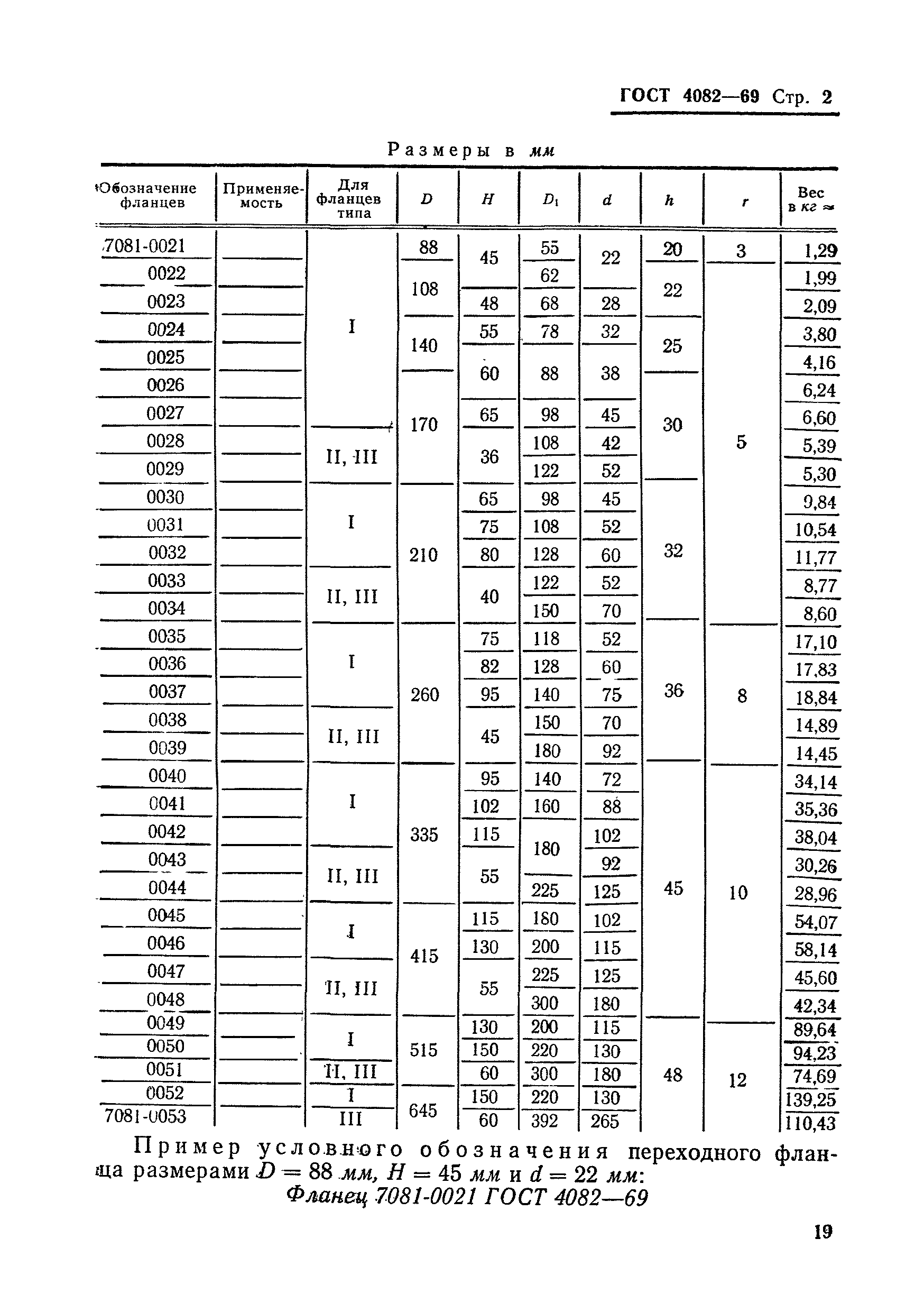
Скачать ГОСТ 4082-69 Фланцы переходные для станочных приспособлений (заготовки). Конструкция и размерыДата актуализации: 01.06.2025 ГОСТ 4082-69
Фланцы переходные для станочных приспособлений (заготовки). Конструкция и размеры
| Обозначение: |  ГОСТ 4082-69 |
| Статус: | не действует в РФ |
| Название рус.: | Фланцы переходные для станочных приспособлений (заготовки). Конструкция и размеры | | Дата актуализации текста: | 06.04.2015 | | Дата актуализации описания: | 01.06.2019 | | Дата введения: | 01.01.1970 | |
       
|