| Обозначение: |  ГОСТ 31016-2003 |
| Статус: | заменён |
| Название рус.: | Автоматическая идентификация. Кодирование штриховое. Спецификации символики PDF417 (ПДФ417) |
| Дата актуализации текста: | 06.04.2015 |
| Дата актуализации описания: | 01.07.2023 |
| Дата регистрации: | 05.12.2003 |
| Дата введения: | 01.05.2005 |
| Дата окончания срока действия: | 01.05.2019 |
| Заменяющий: | ГОСТ ISO/IEC 15438-2018 |
| Аутентичен стандартам: | ГОСТ Р 51294.9-2002 |
| Содержит требования: | ISO/IEC 15438:2001 |
| Нормативные ссылки: | ISO 646:1991;ISO 8859-1:1998;ISO/IEC 15416:2000;EN 796-96;EN 1556-98 |
| Область применения: | Настоящий стандарт устанавливает: - требования к символике штрихового кода PDF417; - показатели символики PDF417, кодирование знаков данных, форматы символов, размеры, правила коррекции ошибки, алгоритм декодирования и совокупность параметров применения |
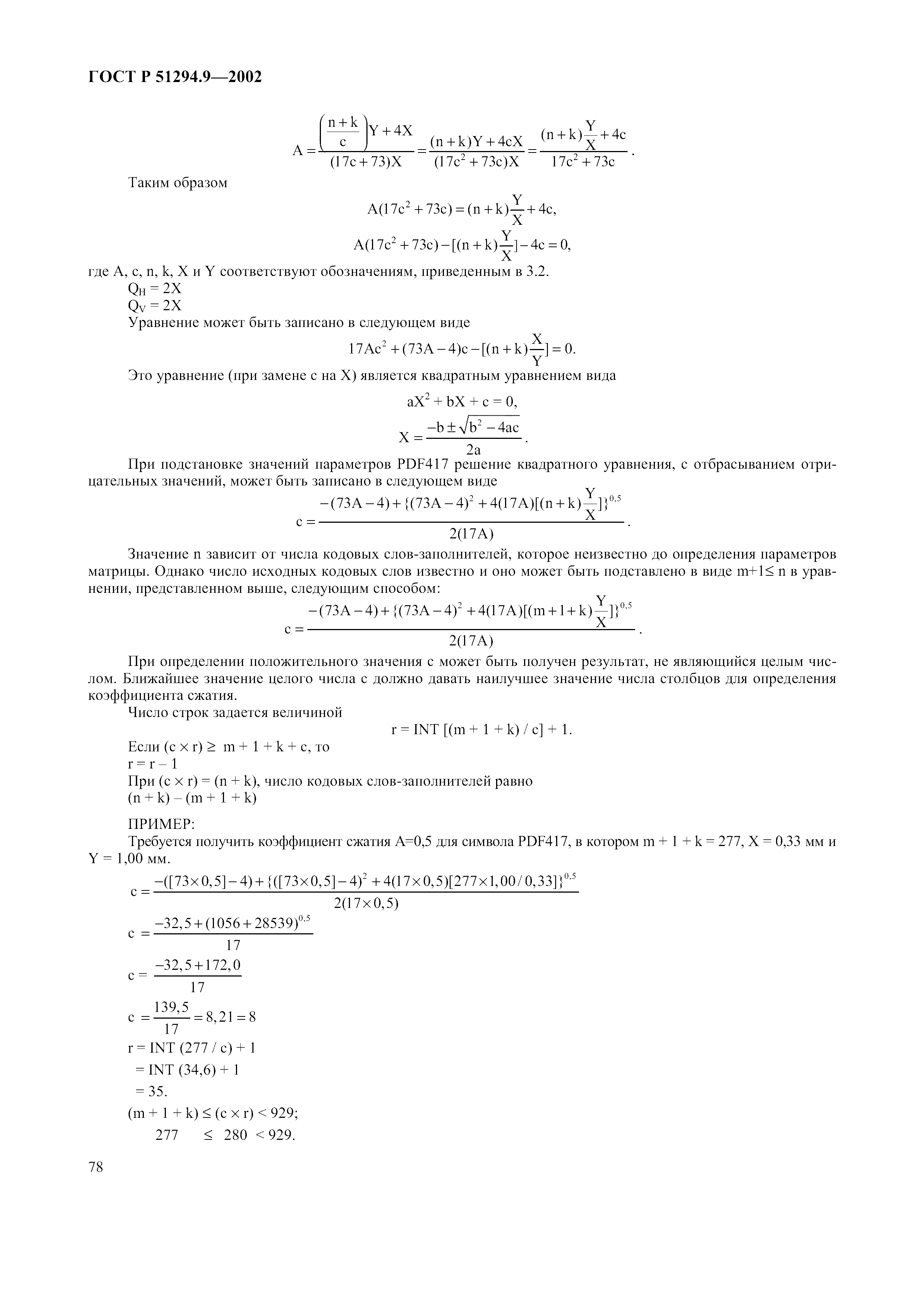
|