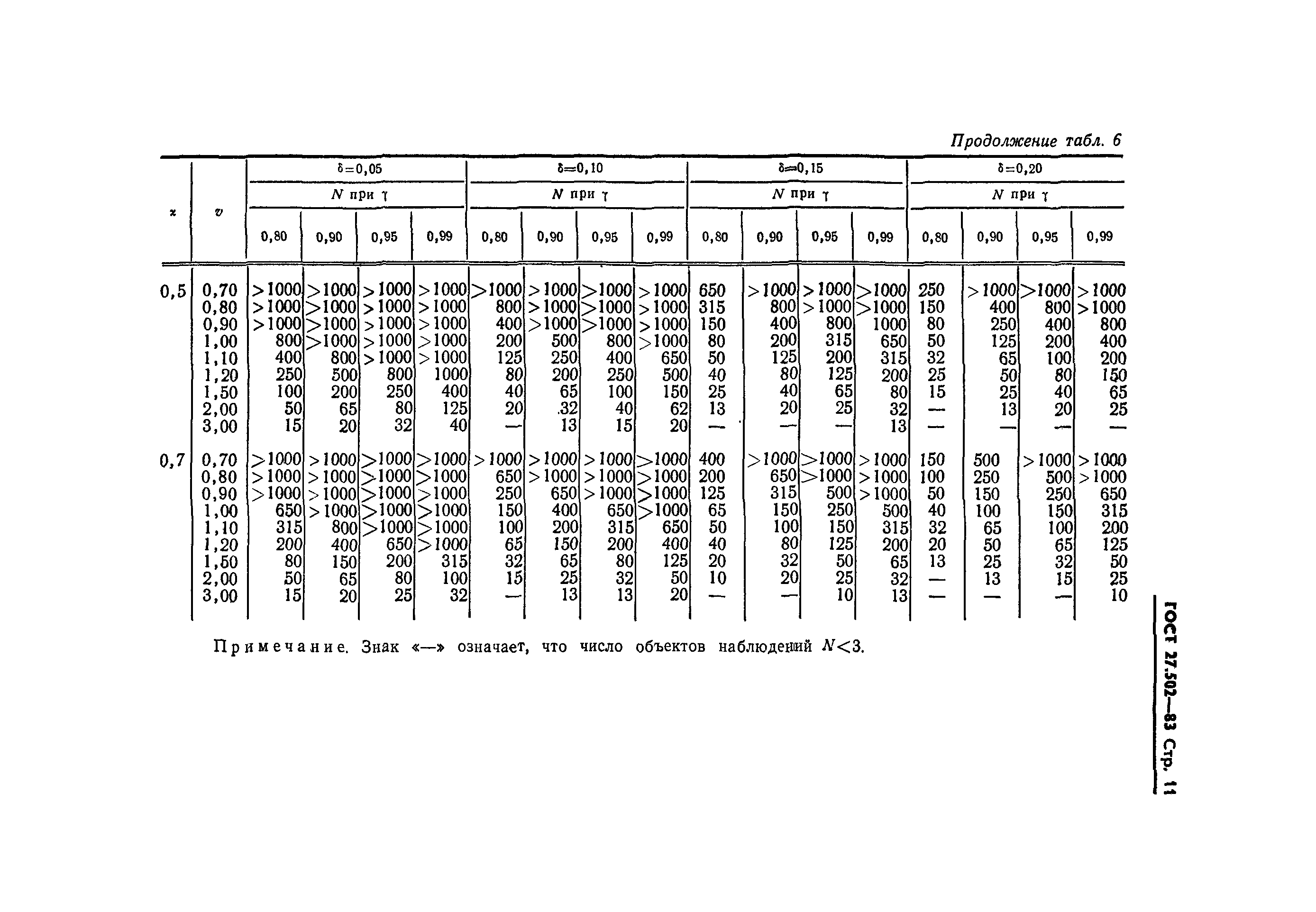
Скачать ГОСТ 27.502-83 Надежность в технике. Система сбора и обработки информации. Планирование наблюденийДата актуализации: 01.06.2025 ГОСТ 27.502-83
Надежность в технике. Система сбора и обработки информации. Планирование наблюдений
| Обозначение: |  ГОСТ 27.502-83 |
| Статус: | не действует в РФ |
| Название рус.: | Надежность в технике. Система сбора и обработки информации. Планирование наблюдений | | Дата актуализации текста: | 06.04.2015 | | Дата актуализации описания: | 01.06.2019 | |
                        
|