| Обозначение: |  ГОСТ 24718-2014 |
| Статус: | действующий |
| Название рус.: | Полосы из платины, палладия и сплавов на их основе. Технические условия |
| Дата актуализации текста: | 01.06.2022 |
| Дата актуализации описания: | 01.07.2023 |
| Дата регистрации: | 20.10.2014 |
| Дата издания: | 01.04.2015 |
| Дата введения: | 01.01.2016 |
| Взамен: | ГОСТ 24718-81 |
| Нормативные ссылки: | ГОСТ 166-89; ГОСТ 427-75; ГОСТ 6507-90; ГОСТ 8273-75; ГОСТ 12225-80; ГОСТ 12226-80; ГОСТ 12550.1-82; ГОСТ 12550.2-82; ГОСТ 12551.1-82; ГОСТ 12551.2-82; ГОСТ 12552.1-77; ГОСТ 12552.2-77; ГОСТ 12553.1-77; ГОСТ 12553.2-77; ГОСТ 12554.1-83; ГОСТ 12554.2-83; ГОСТ 12556.1-82; ГОСТ 12556.2-82; ГОСТ 12558.1-78; ГОСТ 12558.2-78; ГОСТ 12559.1-82; ГОСТ 12559.2-82; ГОСТ 12560.1-78; ГОСТ 12560.2-78; ГОСТ 12561.1-78; ГОСТ 12561.2-78; ГОСТ 13462-2010; ГОСТ 13498-2010; ГОСТ 14192-96; ГОСТ 15150-69; ГОСТ 22864-83; ГОСТ 24104-2001; ГОСТ 29329-92; ГОСТ 30649-99; ГОСТ Р 52519-2006; ГОСТ Р 52520-2006; ГОСТ Р 52521-2006; ГОСТ Р 53228-2008 |
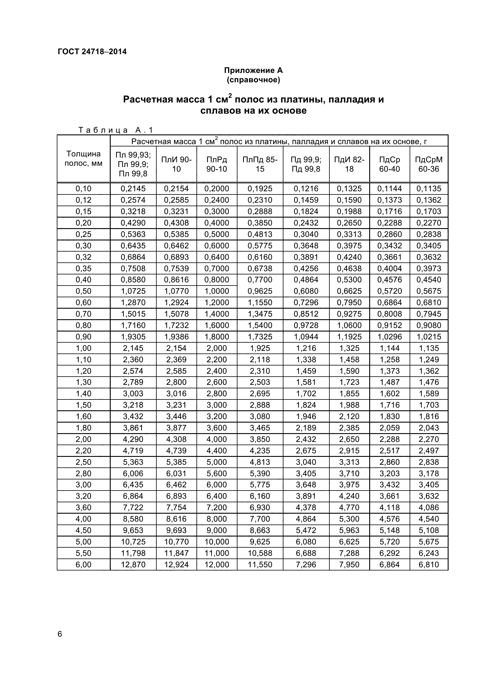
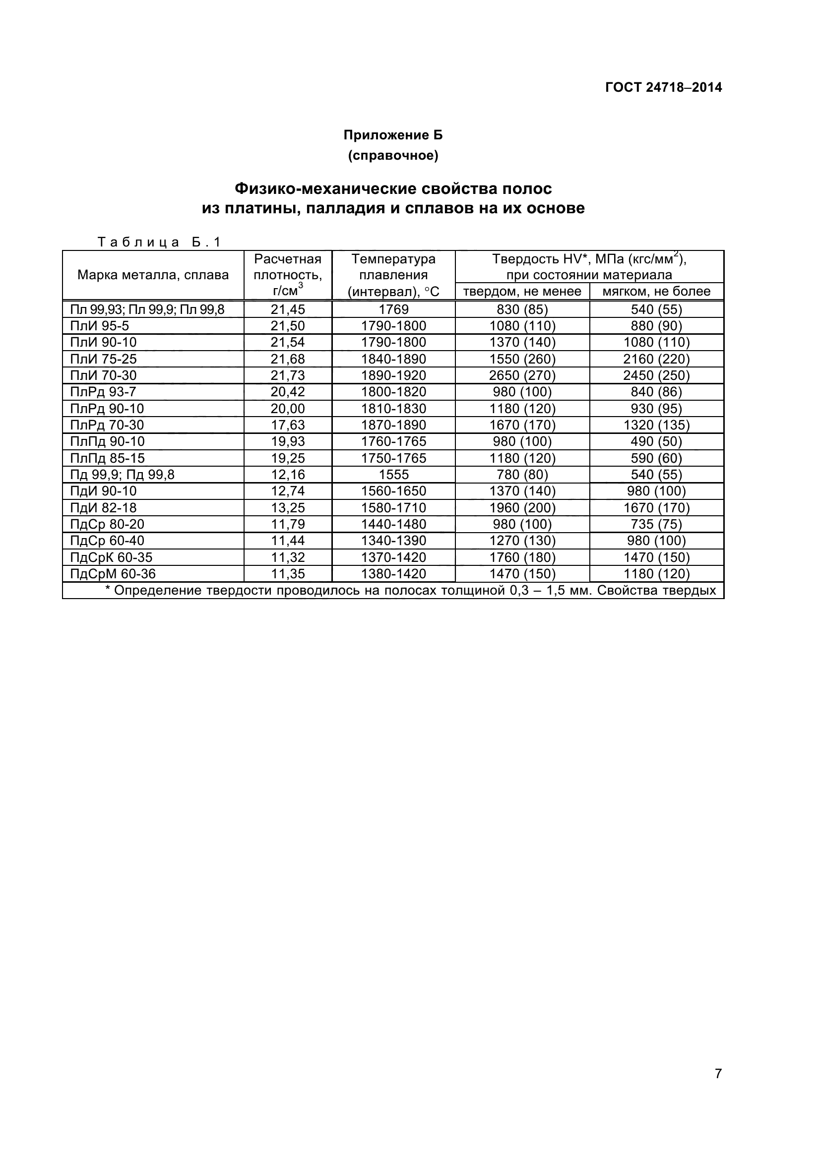
| Область применения: | Настоящий стандарт распространяется на холоднокатаные полосы из платины, палладия и сплавов на их основе, применяемые в приборостроении и других отраслях промышленности |
| Приложение №1: | Поправка к ГОСТ 24718-2014 |
|