| Обозначение: |  ГОСТ Р ИСО/ТС 10303-1637-2014 |
| Статус: | действующий |
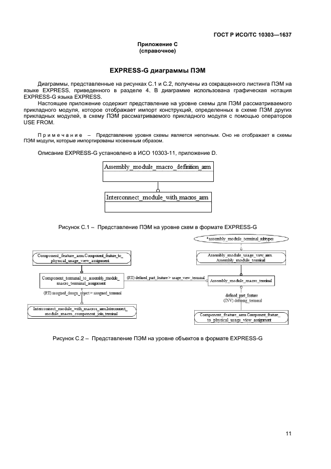
| Название рус.: | Системы автоматизации производства и их интеграция. Представление данных об изделии и обмен этими данными. Часть 1637. Прикладной модуль. Определение макромодулей электронного узла |
| Название англ.: | Industrial automation systems and integration. Product data representation and exchange. Part 1637. Application module. Assembly module macro definition |
| Дата актуализации текста: | 06.04.2015 |
| Дата актуализации описания: | 01.07.2023 |
| Дата издания: | 25.01.2019 |
| Дата введения: | 01.10.2015 |
| Аутентичен стандартам: | ISO/TS 10303-1637:2010 |
| Нормативные ссылки: | ISO/IEC 8824-1:2015;ISO 10303-1:1994;ISO 10303-11:2004;ISO 10303-21:2016;ISO 10303-242:2014;ISO/TS 10303-1001:2018;ISO/TS 10303-1017:2010;ISO/TS 10303-1687 |
| Область применения: | Настоящий стандарт определяет прикладной модуль «Определение макромодулей электронного узла». В область применения настоящего стандарта входит: - представление выводов макромодуля электронного узла; - назначение связей выводов компонентов макромодуля с выводами макромодуля электронного узла; - положения, входящие в область применения прикладного модуля ИСО/ТС 10303-1687 Interconnect module with macros. В область применения настоящего стандарта не входит: - описание электронного узла с точки зрения его использования |
|