| Обозначение: |  ГОСТ 18389-2014 |
| Статус: | действующий |
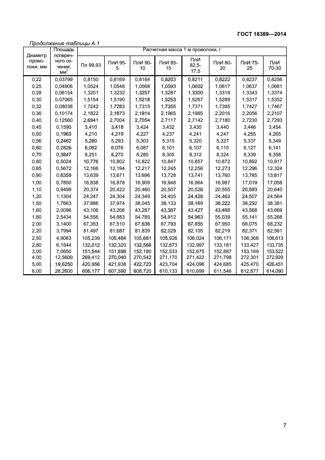
| Название рус.: | Проволока из платины и сплавов на ее основе. Технические условия |
| Название англ.: | Wire made of platinum and its alloys. Specifications |
| Дата актуализации текста: | 06.04.2015 |
| Дата актуализации описания: | 01.07.2023 |
| Дата регистрации: | 22.12.2014 |
| Дата издания: | 02.02.2015 |
| Дата введения: | 01.09.2015 |
| Код ОКП: | 186590 |
| Взамен: | ГОСТ 18389-73 |
| Нормативные ссылки: | ГОСТ Р 52519-2006; ГОСТ Р 52520-2006; ГОСТ Р 52521-2006; ГОСТ Р 52599-2006; ГОСТ Р 53228-2008; ГОСТ 3193-74; ГОСТ 4381-87; ГОСТ 8273-75; ГОСТ 10197-70; ГОСТ 12226-80; ГОСТ 12551.1-82; ГОСТ 12551.2-82; ГОСТ 12552.1-77; ГОСТ 12552.2-77; ГОСТ 12553.1-77; ГОСТ 12553.2-77; ГОСТ 12554.1-83; ГОСТ 12554.2-83; ГОСТ 12556.1-82; ГОСТ 12556.2-82; ГОСТ 12559.1-82; ГОСТ 12559.2-82; ГОСТ 13498-2010; ГОСТ 14192-96; ГОСТ 15150-69; ГОСТ 22864-83; ГОСТ 24104-2001; ГОСТ 28798-90; ГОСТ 29329-92; ГОСТ 30649-99 |
| Область применения: | Настоящий стандарт распространяется на холоднодеформированную проволоку из платины и сплавов на её основе, применяемую в приборостроении и других отраслях промышленности |
|