| Обозначение: |  ГОСТ 28507-99 |
| Статус: | действующий |
| Название рус.: | Обувь специальная с верхом из кожи для защиты от механических воздействий. Технические условия |
| Название англ.: | Special leather footwear for protection from mechanical action. Specification |
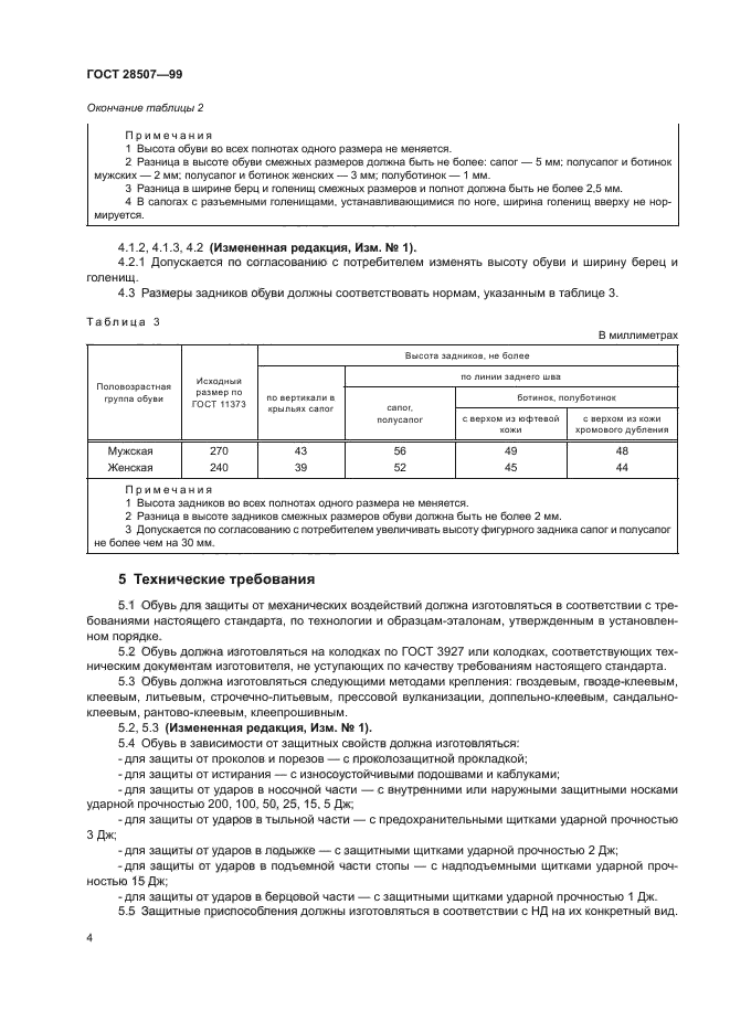
| Дата актуализации текста: | 01.01.2021 |
| Дата актуализации описания: | 01.07.2023 |
| Дата регистрации: | 25.05.1999 |
| Дата издания: | 15.06.2020 |
| Дата введения: | 01.04.2015 |
| Взамен: | ГОСТ 28507-90 |
| Нормативные ссылки: | ГОСТ 12.1.004; ГОСТ 12.1.005; ГОСТ 12.1.012; ГОСТ 12.2.032; ГОСТ 12.2.033; ГОСТ 12.4.021; ГОСТ 12.4.029; ГОСТ 12.4.103; ГОСТ 12.4.106; ГОСТ 12.4.131; ГОСТ 12.4.132; ГОСТ 12.4.177; ГОСТ 15.004; ГОСТ 485; ГОСТ 940; ГОСТ 1562; ГОСТ 1838; ГОСТ 1903; ГОСТ 3123; ГОСТ 3927; ГОСТ 7065; ГОСТ 7296; ГОСТ 9134; ГОСТ 9135; ГОСТ 9136; ГОСТ 9277; ГОСТ 9289; ГОСТ 9290; ГОСТ 9292; ГОСТ 9333; ГОСТ 9542; ГОСТ 9718; ГОСТ 11373; ГОСТ 15092; ГОСТ 19196; ГОСТ 23251-83; ГОСТ 28735; ГОСТ 29277; ГОСТ 4661; ГОСТ 939 |
| Область применения: | Настоящий стандарт распространяется на специальную обувь с верхом из кожи, предназначенную для защиты ног от механических воздействий. Обязательные требования к качеству обуви, обеспечивающие безопасность для жизни и здоровья, изложены в 5.4 |
| Список изменений: | №0 от 31.03.2015 (рег. 11.03.2015) «Утратил силу в РФ» №1 от 01.02.2018 (рег. 26.12.2016) «Текстовое изменение; Изменены ссылочные НД» |
| Приложение №1: | Изменение №1 к ГОСТ 28507-99 |
|