Скачать ГОСТ 33059-2014 Методы испытаний химической продукции, представляющей опасность для окружающей среды. Птицы: тест на острую пероральную токсичностьДата актуализации: 01.06.2025 ГОСТ 33059-2014
Методы испытаний химической продукции, представляющей опасность для окружающей среды. Птицы: тест на острую пероральную токсичность
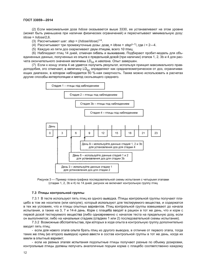
| Обозначение: |  ГОСТ 33059-2014 |
| Статус: | действующий |
| Название рус.: | Методы испытаний химической продукции, представляющей опасность для окружающей среды. Птицы: тест на острую пероральную токсичность | | Название англ.: | Testing of chemicals of environmental hazard. Avian acute oral toxicity test | | Дата актуализации текста: | 01.01.2021 | | Дата актуализации описания: | 01.01.2021 | | Дата регистрации: | 20.10.2014 | | Дата издания: | 22.04.2019 | | Дата введения: | 01.08.2015 | | Аутентичен стандартам: | OECD Test No 223:2010 | | Область применения: | Настоящий стандарт устанавливает метод определения острой пероральной токсичности химических веществ для птиц | |
                      
|