| Обозначение: |  ГОСТ 32093-2013 |
| Статус: | действующий |
| Название рус.: | Посуда керамическая каменная. Технические условия |
| Название англ.: | Stone ware. General specifications |
| Дата актуализации текста: | 01.01.2021 |
| Дата актуализации описания: | 01.07.2023 |
| Дата регистрации: | 06.06.2013 |
| Дата издания: | 27.09.2019 |
| Дата введения: | 01.07.2014 |
| Нормативные ссылки: | ГОСТ 162; ГОСТ 166; ГОСТ 427; ГОСТ 1770; ГОСТ 18321; ГОСТ 24770; ГОСТ 24970; ГОСТ 25185; ГОСТ 25185.1; ГОСТ 28389; ГОСТ 32091-2013; ГОСТ Р 53547-2009; ГОСТ Р ИСО 6486-1-2007; ГОСТ Р ИСО 6486-2-2007 |
| Область применения: | Настоящий стандарт распространяется на посуду и изделия из каменной керамической массы, отличительной особенностью которых является непрозрачный, слегка пористый окрашенный черепок |
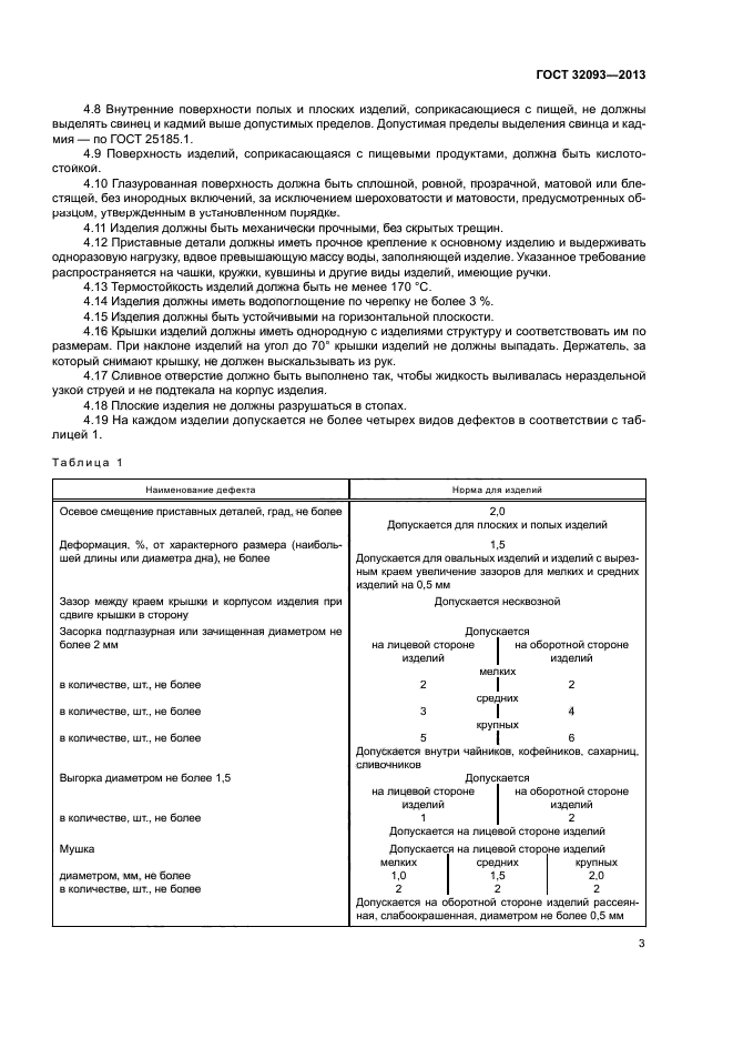
|