| Обозначение: |  ГОСТ 1791-2014 |
| Статус: | действующий |
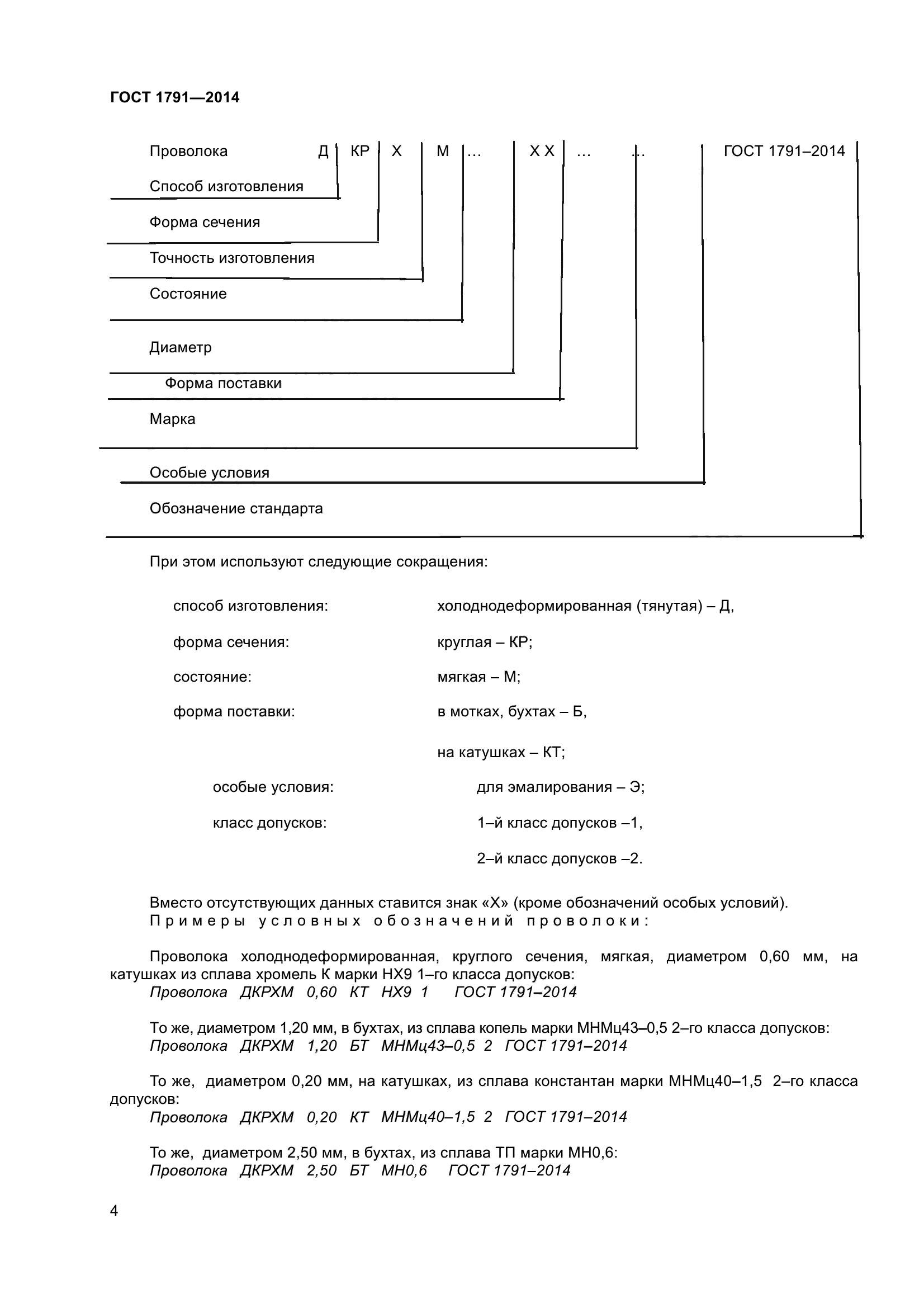
| Название рус.: | Проволока из никелевого и медно-никелевых сплавов для удлиняющих проводов к термоэлектрическим преобразователям. Технические условия |
| Название англ.: | Nickel and copper-nickel alloys wire for extension leads for thermoelectric temperature transducers. Specifications |
| Дата актуализации текста: | 01.06.2022 |
| Дата актуализации описания: | 01.07.2023 |
| Дата регистрации: | 05.12.2014 |
| Дата издания: | 02.03.2015 |
| Дата введения: | 01.09.2015 |
| Код ОКП: | 184790 |
| Взамен: | ГОСТ 1791-67 |
| Нормативные ссылки: | ГОСТ 8.338-2002; ГОСТ 492-73; ГОСТ 982-80; ГОСТ 1770-74; ГОСТ 1953.1-79; ГОСТ 1953.2-79; ГОСТ 1953.3-79; ГОСТ 1953.4-79; ГОСТ 1953.5-79; ГОСТ 1953.6-79; ГОСТ 1953.7-79; ГОСТ 1953.8-79; ГОСТ 1953.9-79; ГОСТ 1953.10-79; ГОСТ 1953.11-79; ГОСТ 1953.12-79; ГОСТ 1953.13-79; ГОСТ 1953.14-79; ГОСТ 1953.15-79; ГОСТ 1953.16-79; ГОСТ 2112-79; ГОСТ 2991-85; ГОСТ 3282-74; ГОСТ 3560-73; ГОСТ 4381-87; ГОСТ 6323-79; ГОСТ 6507-90; ГОСТ 6689.1-92; ГОСТ 6689.2-92; ГОСТ 6689.3-92; ГОСТ 6689.4-92; ГОСТ 6689.5-92; ГОСТ 6689.6-92; ГОСТ 6689.7-92; ГОСТ 6689.8-92; ГОСТ 6689.9-92; ГОСТ 6689.10-92; ГОСТ 6689.11-92; ГОСТ 6689.12-92; ГОСТ 6689.13-92; ГОСТ 6689.14-92; ГОСТ 6689.15-92; ГОСТ 6689.16-92; ГОСТ 6689.17-92; ГОСТ 6689.18-92; ГОСТ 6689.19-92; ГОСТ 6689.20-92; ГОСТ 6689.21-92; ГОСТ 6689.22-92; ГОСТ 7229-76; ГОСТ 8273-75; ГОСТ 8828-89; ГОСТ 9078-84; ГОСТ 9245-79; ГОСТ 9347-74; ГОСТ 9569-2006; ГОСТ 9557-87; ГОСТ 10446-80; ГОСТ 13646-68; ГОСТ 14192-96; ГОСТ 15846-2002; ГОСТ 17675-87; ГОСТ 20435-75; ГОСТ 21140-88; ГОСТ 21650-76; ГОСТ 22225-76; ГОСТ 24047-80; ГОСТ 24231-80; ГОСТ 24597-81; ГОСТ 25086-2011; ГОСТ 26663-85;СТ СЭВ 543-77 |
| Область применения: | Настоящий стандарт распространяется на проволоку круглого сечения из никелевого и медно-никелевых сплавов, предназначенную для изготовления удлиняющих проводов к термоэлектрическим преобразователям: хромель-копель в диапазоне от минус 50 °С до плюс 200 °С, хромель-алюмель и платинородий-платина в диапазоне от 0 °С до 100 °С. Требования настоящего стандарта являются обязательными |
| Приложение №1: | Поправка к ГОСТ 1791-2014 |
|