| Обозначение: |  ГОСТ Р 55889-2013 |
| Статус: | действующий |
| Название рус.: | Услуги общественного питания. Система менеджмента безопасности продукции общественного питания. Рекомендации по применению ГОСТ Р ИСО 22000-2007 для индустрии питания |
| Название англ.: | Services of public catering. The safety management system of public catering products. Recommendations about application. GOST R ISO 22000-2007 for the food industry |
| Дата актуализации текста: | 01.01.2021 |
| Дата актуализации описания: | 01.01.2025 |
| Дата издания: | 03.04.2020 |
| Дата введения: | 01.09.2015 |
| Дата окончания срока действия: | 01.06.2025 |
| Заменяющий: | ГОСТ Р 55889-2024 |
| Нормативные ссылки: | ГОСТ ISO 9001; ГОСТ 31985; ГОСТ 31986; ГОСТ 31987; ГОСТ Р 50763; ГОСТ Р 50935; ГОСТ Р ИСО 22000; ГОСТ 30390-2013; ГОСТ 30524-2013;BIP 2127:2007 |
| Область применения: | Настоящий стандарт содержит общие рекомендации при применении ГОСТ Р ИСО 22000. Настоящий стандарт предназначен для организаций (предприятий) в сфере индустрии питания, разрабатывающих и внедряющих систему менеджмента безопасности продукции общественного питания на основе требований ГОСТ Р ИСО 22000, а также для персонала, отвечающего за безопасность продукции общественного питания |
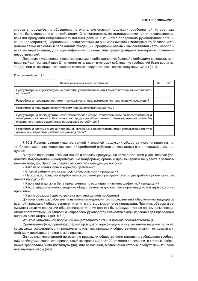
|