| Обозначение: |  ГОСТ 33045-2014 |
| Статус: | действующий |
| Название рус.: | Вода. Методы определения азотсодержащих веществ |
| Название англ.: | Water. Methods for determination of nitrogen-containing matters |
| Дата актуализации текста: | 01.01.2024 |
| Дата актуализации описания: | 01.07.2023 |
| Дата регистрации: | 20.10.2014 |
| Дата издания: | 25.02.2019 |
| Дата введения: | 01.01.2016 |
| Взамен: | ГОСТ 4192-82; ГОСТ 18826-73 |
| Нормативные ссылки: | ГОСТ Р ИСО 5725-6-2002; ГОСТ Р 56237-2014;ГОСТ OIML R 76-1-2011; ГОСТ 17.1.5.05-85; ГОСТ 61-75; ГОСТ 83-79; ГОСТ 1277-75; ГОСТ 1770-74; ГОСТ 2493-75; ГОСТ 3760-79; ГОСТ 3773-72; ГОСТ 4197-74; ГОСТ 4198-75; ГОСТ 4199-76; ГОСТ 4204-77; ГОСТ 4238-77; ГОСТ 4328-77; ГОСТ 4329-77; ГОСТ 4517-87; ГОСТ 4525-77; ГОСТ ИСО 5725-6-2003; ГОСТ 5845-79; ГОСТ 6552-80; ГОСТ 6709-72; ГОСТ 9147-80 ; ГОСТ 12026-76 ; ГОСТ 14919-83; ГОСТ ИСО/МЭК 17025-2009; ГОСТ 18190-72; ГОСТ 20298-74; ГОСТ 20015-88; ГОСТ 24147-80; ГОСТ 25336-82; ГОСТ 27068-86; ГОСТ 28311-89; ГОСТ 29169-91; ГОСТ 29227-91; ГОСТ 31861-2012; ГОСТ 31862-2012; ГОСТ 31868-2012; ГОСТ 32220-2013; ГОСТ 4217-77 |
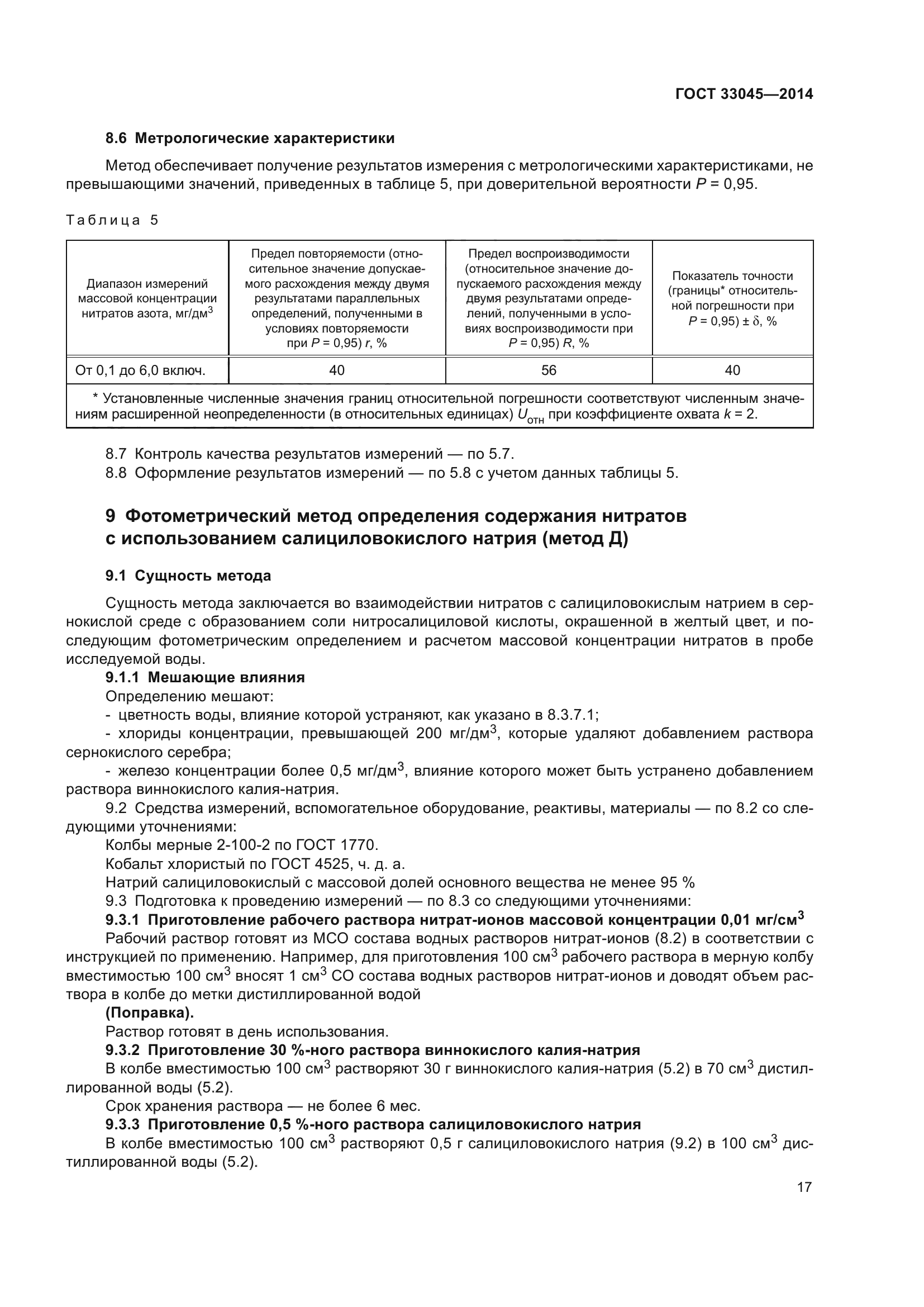
| Область применения: | Настоящий стандарт распространяется на питьевую (в том числе расфасованную в емкости), природную (поверхностную и подземную) и сточную воду и устанавливает следующие методы определения содержания минеральных азотсодержащих веществ: - фотометрический метод определения содержания аммиака и ионов аммония (суммарно) с реактивом Несслера при массовой концентрации от 0,1 до 3,0 мг/дм куб. без разбавления пробы. При необходимости определения более высоких концентраций пробу разбавляют, но не более чем в 100 раз (метод А); - фотометрический метод определения содержания нитритов с использованием сульфаниловой кислоты при массовой концентрации от 0,003 до 0,3 мг/дм куб. без разбавления пробы. При необходимости определения более высоких концентраций пробу разбавляют, но не более чем в 100 раз (метод Б); - фотометрический метод определения азота нитритов с использованием 4-аминобензолсульфонамида при массовой концентрации от 0,25 до 10,0 мг/дм куб. (метод В); - фотометрический метод определения содержания азота нитратов с использованием фенолдисульфоновой кислоты при массовой концентрации от 0,1 до 6,0 мг/дм куб. (метод Г); - фотометрический метод определения содержания нитратов с использованием салициловокислого натрия при массовой концентрации от 0,1 до 2,0 мг/дм куб. без разбавления пробы. При необходимости определения более высоких концентраций пробу разбавляют, но не более чем в 100 раз (метод Д). |
| Список изменений: | №0 от 18.10.2016 (рег. 18.10.2016) «» |
| Приложение №1: | Изменение к ГОСТ 33045-2014. Поправка; Изменены ссылочные НД |
| Приложение №2: | Поправка к ГОСТ 33045-2014 |
| Приложение №3: | Поправка к ГОСТ 33045-2014 |
| Приложение №4: | Поправка к ГОСТ 33045-2014 |
|