| Обозначение: |  ГОСТ Р 55900-2013 |
| Статус: | действующий |
| Название рус.: | Руководство по обоснованию применимости и разработке стандартов на системы менеджмента для инновационной деятельности малых и средних предприятий |
| Название англ.: | Guidelines for the justification and development of management system standards in the sphere of innovation activities for small and medium size enterprises |
| Дата актуализации текста: | 01.01.2021 |
| Дата актуализации описания: | 01.07.2023 |
| Дата издания: | 20.05.2020 |
| Дата введения: | 01.09.2014 |
| Нормативные ссылки: | ГОСТ 54985;ГОСТ ISO 9000; ГОСТ Р 54147; ГОСТ Р 55901-2013; ГОСТ Р ИСО 9001; ГОСТ Р ИСО 9004; ГОСТ Р ИСО 14001; ГОСТ Р ИСО 14050; ГОСТ Р ИСО 21500; ГОСТ Р ИСО 31000 |
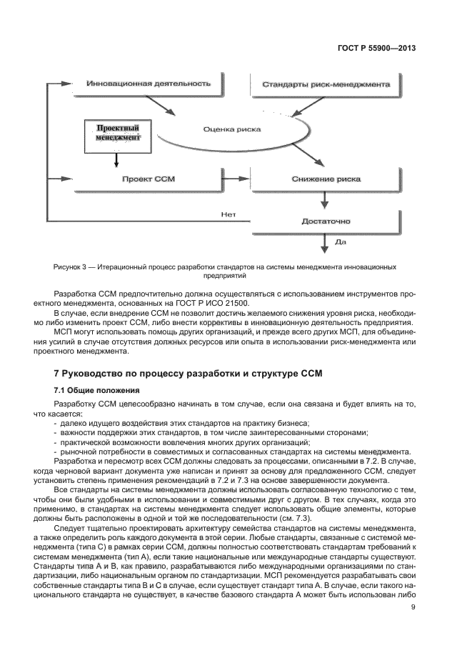
| Область применения: | Настоящий стандарт представляет собой руководство по обоснованию применимости и разработке стандартов на системы менеджмента для инновационной деятельности малых и средних предприятий и включает: - обоснование и определение стоимости предложенного проекта для стандарта на систему менеджмента с целью оценки его коммерческой пригодности; - руководящие указания по методологии (процессу) разработки и поддержанию (т.е. пересмотру и изменению) стандартов на системы менеджмента с целью обеспечить совместимость и улучшить согласованность; - руководящие указания по терминологии, структуре и общим элементам в стандартах на системы менеджмента с целью обеспечить совместимость, а также улучшить согласованность и облегчить использование. Настоящий стандарт является дополнением к ГОСТ Р 55901-2013 «Руководящие указания по обоснованию и разработке стандартов на системы менеджмента для инновационных сфер деятельности» применительно к деятельности МСП и основан на процедурах технической работы и методологии для разработки международных стандартов, установленных в соответствии с Директивами ИСО/МЭК |
|