Скачать ГОСТ 32646-2014 Методы испытания по воздействию химической продукции на организм человека. Острая ингаляционная токсичность - метод определения класса острой токсичности (метод АТС)Дата актуализации: 01.06.2025 ГОСТ 32646-2014
Методы испытания по воздействию химической продукции на организм человека. Острая ингаляционная токсичность - метод определения класса острой токсичности (метод АТС)
| Обозначение: |  ГОСТ 32646-2014 |
| Статус: | действующий |
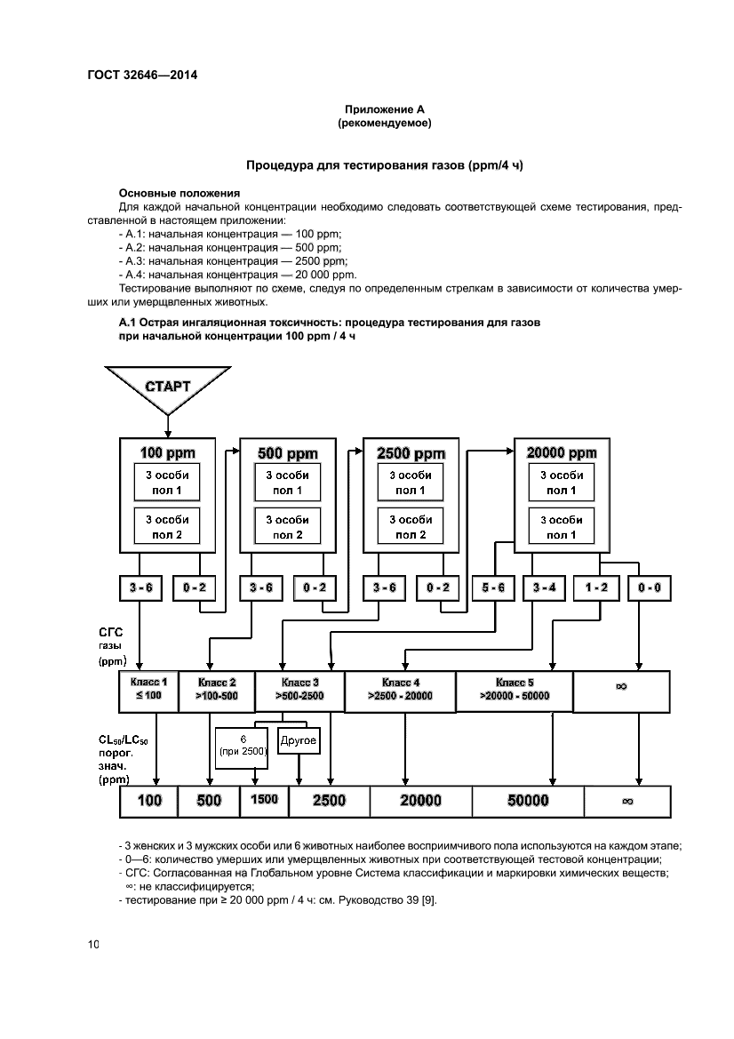
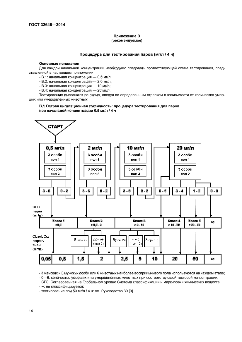
| Название рус.: | Методы испытания по воздействию химической продукции на организм человека. Острая ингаляционная токсичность - метод определения класса острой токсичности (метод АТС) | | Дата актуализации текста: | 01.01.2021 | | Дата актуализации описания: | 01.01.2021 | | Дата регистрации: | 28.03.2014 | | Дата издания: | 27.09.2019 | | Дата введения: | 01.06.2015 | | Аутентичен стандартам: | OECD, Test № 436:2008 | | Область применения: | Настоящий метод позволяет получить информацию об опасных свойствах химического вещества и провести классификацию вещества в соответствии с Согласованной на Глобальном уровне Системой классификации и маркировки химических веществ (для веществ, обладающих острой токсичностью). В случае, если требуются анализ зависимости «концентрация - ответ» или оценка величин CL50/LC50, рекомендуется использовать руководство 403. Дальнейшие рекомендации по выбору метода проведения испытаний представлены в GD 39 | |
                          
|