Скачать ГОСТ Р 56296-2014 Устройства шиберные металлические защитные для взрывоопасных производств. Технические требования и оценка прочностиДата актуализации: 01.06.2025 ГОСТ Р 56296-2014
Устройства шиберные металлические защитные для взрывоопасных производств. Технические требования и оценка прочности
| Обозначение: |  ГОСТ Р 56296-2014 |
| Статус: | действующий |
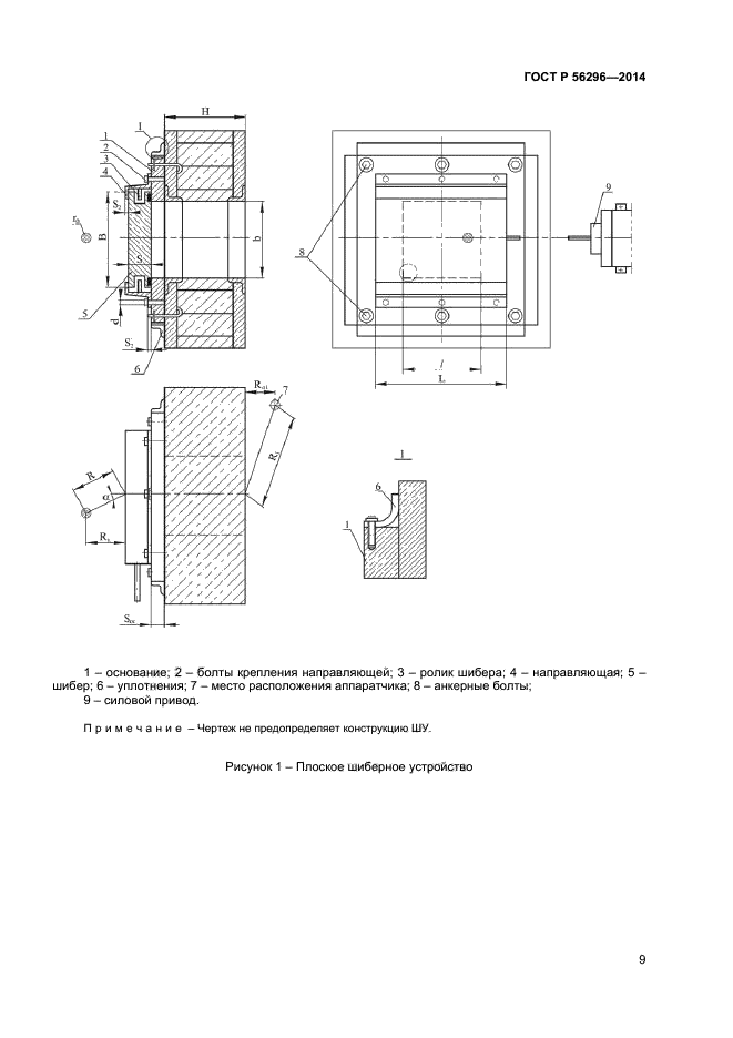
| Название рус.: | Устройства шиберные металлические защитные для взрывоопасных производств. Технические требования и оценка прочности | | Дата актуализации текста: | 01.01.2021 | | Дата актуализации описания: | 01.07.2023 | | Дата издания: | 12.01.2015 | | Дата введения: | 01.07.2015 | | Код ОКП: | 589400 | | Нормативные ссылки: | ГОСТ 380-2005; ГОСТ 1050-88; ГОСТ 2850-95; ГОСТ 6636-69 | | Область применения: | Настоящий стандарт распространяется на шиберные металлические устройства (ШУ) для взрывоопасных производств, предназначенные для защиты обслуживающего персонала, находящегося в закабинном пространстве, от действия воздушной ударной волны (ВУВ) и осколков корпусов боеприпасов и оборудования при взрыве конденсированных взрывчатых веществ (ВВ) в кабине. ШУ устанавливается в технологическом проеме кабины, через который производится загрузка оборудования взрывчатыми материалами и взрывоопасными изделиями для производства опасных и особо опасных операций. Стандарт устанавливает типы, основные параметры и размеры, методы расчета и технические требования к ШУ. Положения настоящего стандарта должны применять расположенные на территории Российской Федерации организации, предприятия и другие субъекты научной и хозяйственной деятельности независимо от форм собственности и подчинения | |
                                                
|