| Обозначение: |  ГОСТ 21007-2014 |
| Статус: | действующий |
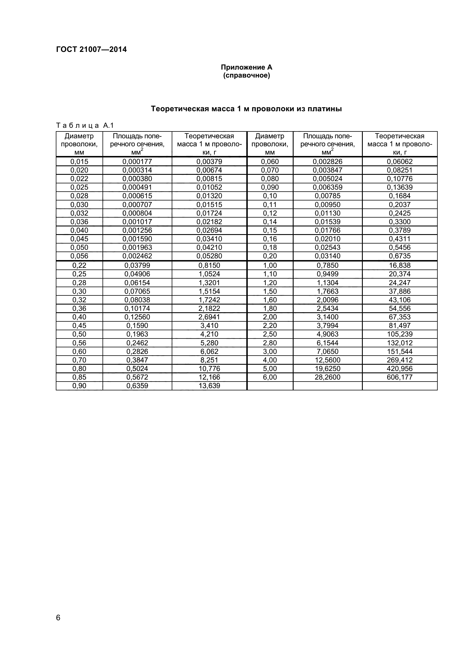
| Название рус.: | Проволока из платины для термопребразователей сопротивления. Технические условия |
| Дата актуализации текста: | 01.01.2023 |
| Дата актуализации описания: | 01.07.2023 |
| Дата регистрации: | 30.05.2014 |
| Дата издания: | 12.01.2015 |
| Дата введения: | 01.09.2015 |
| Взамен: | ГОСТ 21007-75 |
| Нормативные ссылки: | ГОСТ Р 52519-2006; ГОСТ Р 52520-2006; ГОСТ Р 52521-2006; ГОСТ Р 53228-2008; ГОСТ Р 52599-2006; ГОСТ 4381-87; ГОСТ 8273-75; ГОСТ 9038-90; ГОСТ 10197-70; ГОСТ 12226-80; ГОСТ 13498-2010; ГОСТ 14192-96; ГОСТ 15150-69; ГОСТ 22864-83; ГОСТ 24104-2001; ГОСТ 28798-90; ГОСТ 29329-92 |
| Область применения: | Настоящий стандарт распространяется на проволоку из платины, предназначенную для изготовления чувствительных элементов термопреобразователей сопротивления и других технических целей |
| Приложение №1: | Поправка к ГОСТ 21007-2014 |
|