| Обозначение: |  ГОСТ Р 54418.25.2-2014 |
| Статус: | действующий |
| Название рус.: | Возобновляемая энергетика. Ветроэнергетика. Установки ветроэнергетические. Часть 25-2. Коммуникации для текущего контроля и управления ветровыми электростанциями. Информационные модели |
| Дата актуализации текста: | 01.01.2021 |
| Дата актуализации описания: | 01.07.2023 |
| Дата издания: | 08.10.2015 |
| Дата введения: | 01.07.2016 |
| Содержит требования: | IEC 61400-25-2(2006) |
| Нормативные ссылки: | ГОСТ 7.67-2003; ГОСТ 7.75-97; ГОСТ 8.417-2002; ГОСТ Р 54418.25.3-2014; ГОСТ Р МЭК 61850-7-1-2009; ГОСТ Р МЭК 61850-7-2-2009; ГОСТ Р МЭК 61850-7-3-2009; ГОСТ Р МЭК 61850-7-4-2011; ГОСТ Р МЭК 61850-5-2011 |
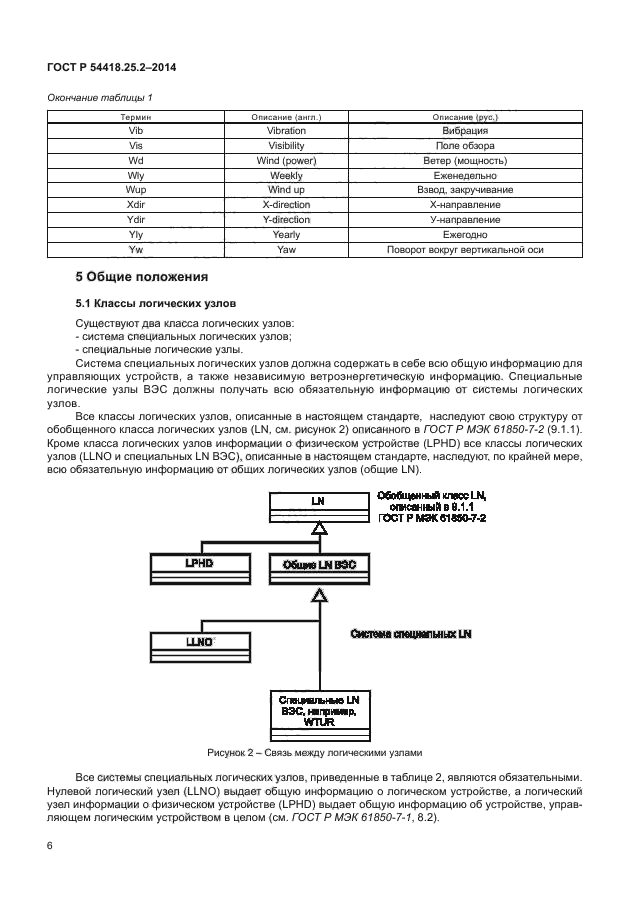
| Область применения: | Настоящий стандарт описывает общие характерные признаки информационных моделей и классы общих данных, связанные с их практическим применением в ветротурбинах. Настоящий стандарт устанавливает классы общих данных по: - установленному значению; - коду состояния (значение состояния); - устройствам сигнализации; - командным сигналам; - подсчету событий; - продолжительности режима; - состоянию системы сигнализации |
|