Скачать ГОСТ Р 56213.31-2014 Системы промышленной автоматизации и интеграция. Обмен данными характеристик. Часть 31. Запрос на данные характеристикДата актуализации: 01.06.2025 ГОСТ Р 56213.31-2014
Системы промышленной автоматизации и интеграция. Обмен данными характеристик. Часть 31. Запрос на данные характеристик
| Обозначение: |  ГОСТ Р 56213.31-2014 |
| Статус: | действующий |
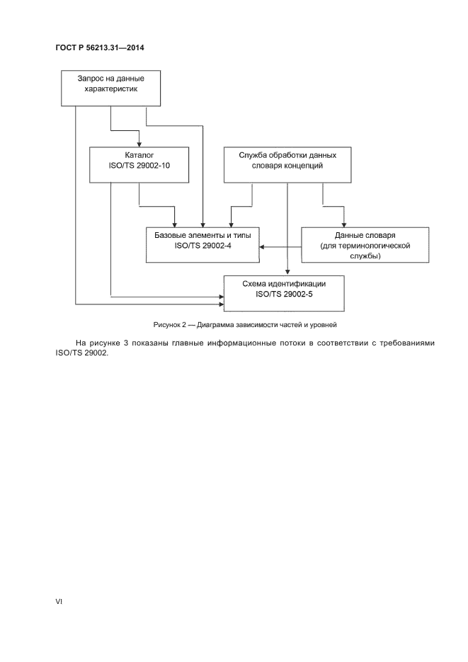
| Название рус.: | Системы промышленной автоматизации и интеграция. Обмен данными характеристик. Часть 31. Запрос на данные характеристик | | Дата актуализации текста: | 01.01.2021 | | Дата актуализации описания: | 01.07.2023 | | Дата издания: | 06.04.2020 | | Дата введения: | 01.07.2015 | | Аутентичен стандартам: | ISO/TS 29002-31:2009 | | Нормативные ссылки: | ISO/TS 29002-4;ISO/TS 29002-5;ISO/TS 29002-10 | | Область применения: | Настоящий стандарт определяет концептуальную информационную модель и формат файла обмена информацией для запроса данных характеристик на продукцию и услуги, а также на данные по идентификации поставщиков продукции в системе UML. Физический формат файла основывается на XML Настоящий стандарт распространяется на: - запрос на данные характеристик изделий и элементов, имеющих идентификацию, назначенную поставщиком; - запрос на идентификацию, назначенную поставщиком таким изделиям и элементам, которые имеют целый набор данных характеристик; - запрос на данные характеристик и на идентификацию, назначенную поставщиком таким изделиям, которые соответствуют условиям поиска информации; - запрос на недостающие данные характеристик | |
                          
|