| Обозначение: |  ГОСТ 32690-2014 |
| Статус: | действующий |
| Название рус.: | Продукция соковая. Определение пестицидов методом тандемной высокоэффективной жидкостной хроматомасс-спектрометрии (ВЭЖХ-МС/МС) |
| Дата актуализации текста: | 01.07.2023 |
| Дата актуализации описания: | 01.07.2023 |
| Дата регистрации: | 25.06.2014 |
| Дата издания: | 16.03.2015 |
| Дата введения: | 01.01.2016 |
| Нормативные ссылки: | ГОСТ OIML R 76-1-2011; ГОСТ 12.1.004-91; ГОСТ 12.1.007-76; ГОСТ 12.1.010-76; ГОСТ 12.1.019-79; ГОСТ 1770-74; ГОСТ ИСО 3696-2013; ГОСТ ИСО 5725-1-2003; ГОСТ ИСО 5725-2-2003; ГОСТ 16317-87; ГОСТ ИСО/МЭК 17025-2009; ГОСТ 25336-82; ГОСТ 26313-84; ГОСТ 26671-85; ГОСТ 28311-89; ГОСТ 29030-91; ГОСТ 29227-91; ГОСТ 32689.1-2014; ГОСТ 32689.2-2014; ГОСТ 32689.3-2014 |
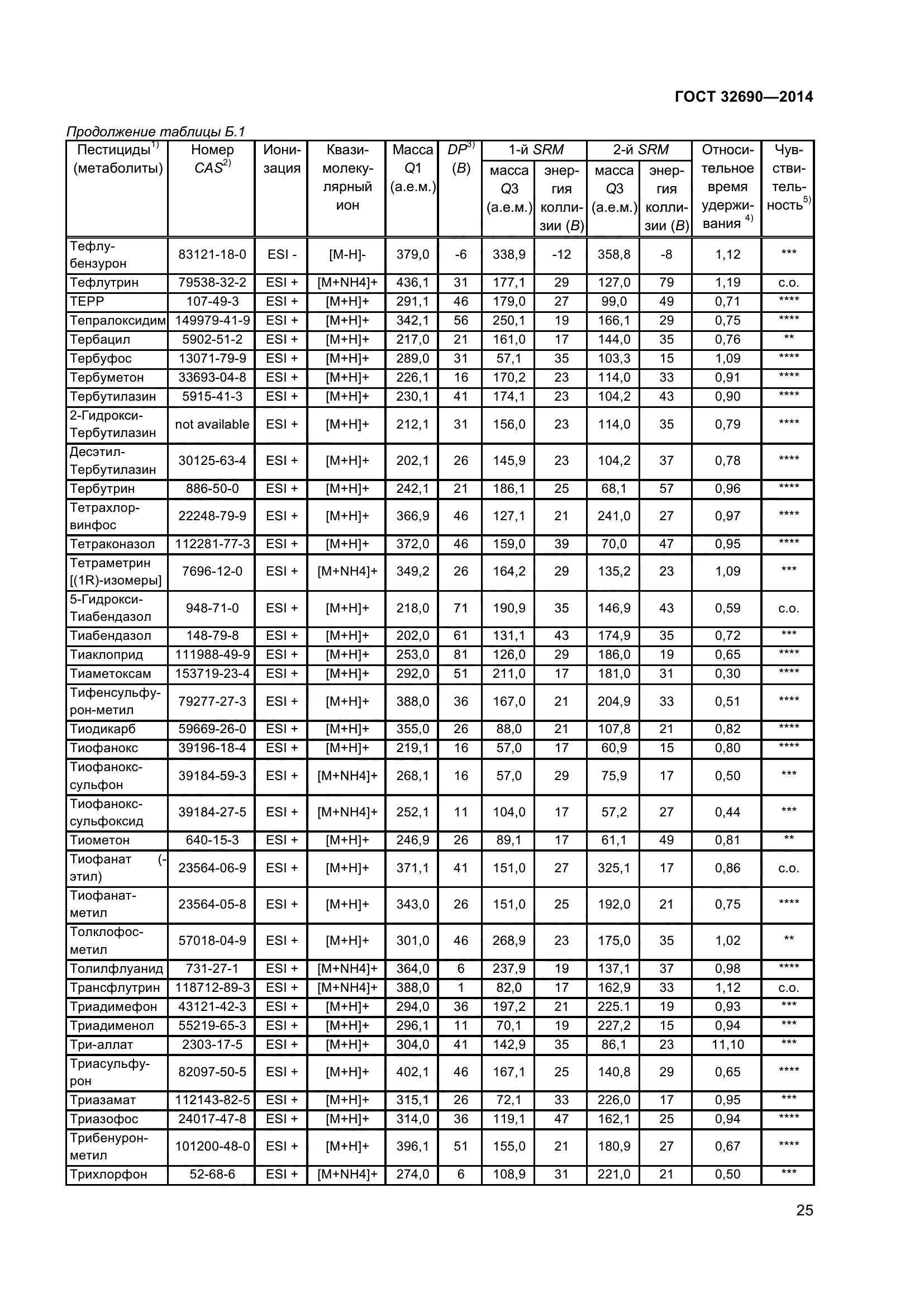
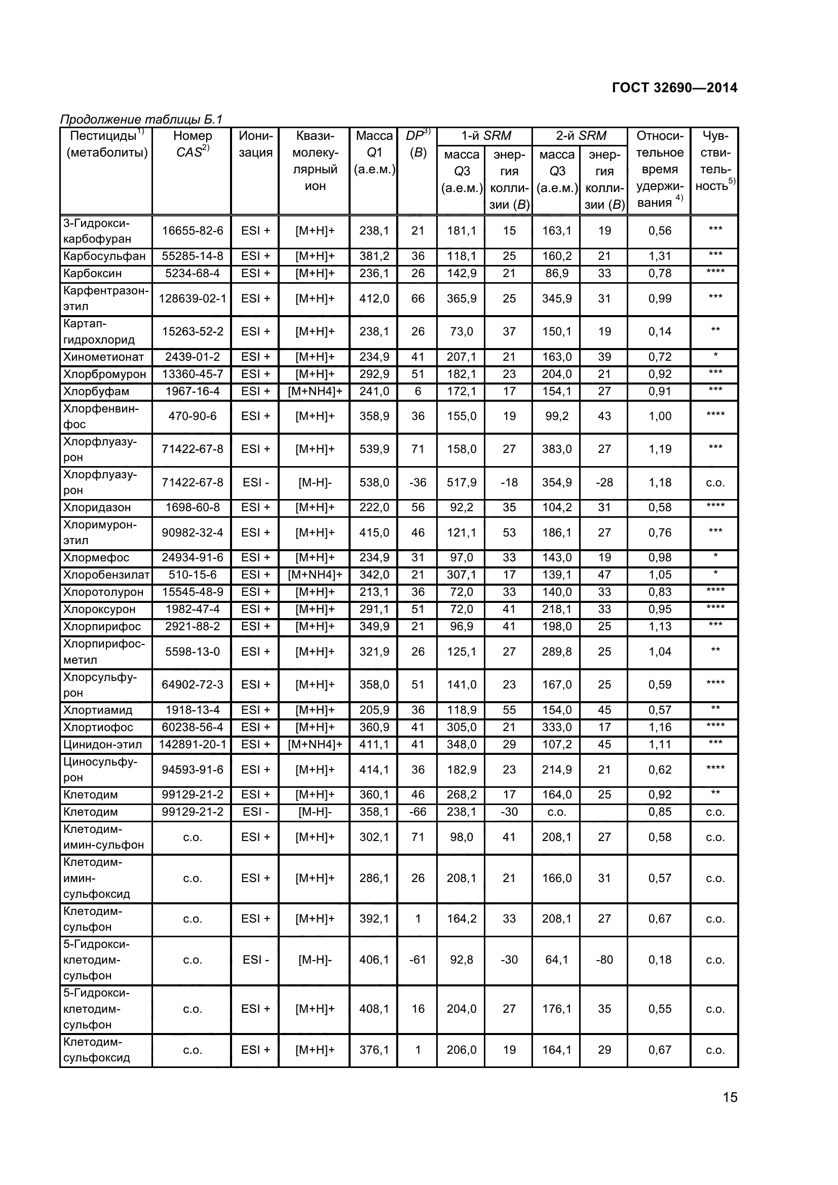
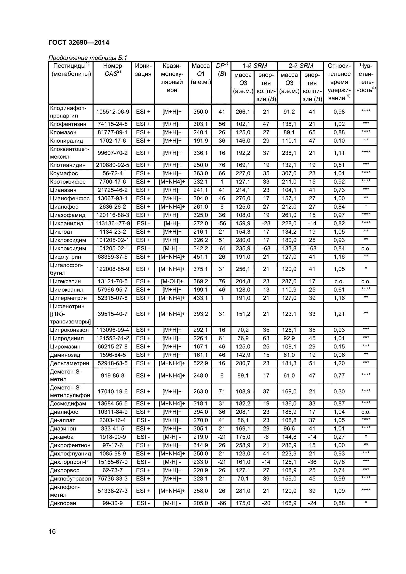
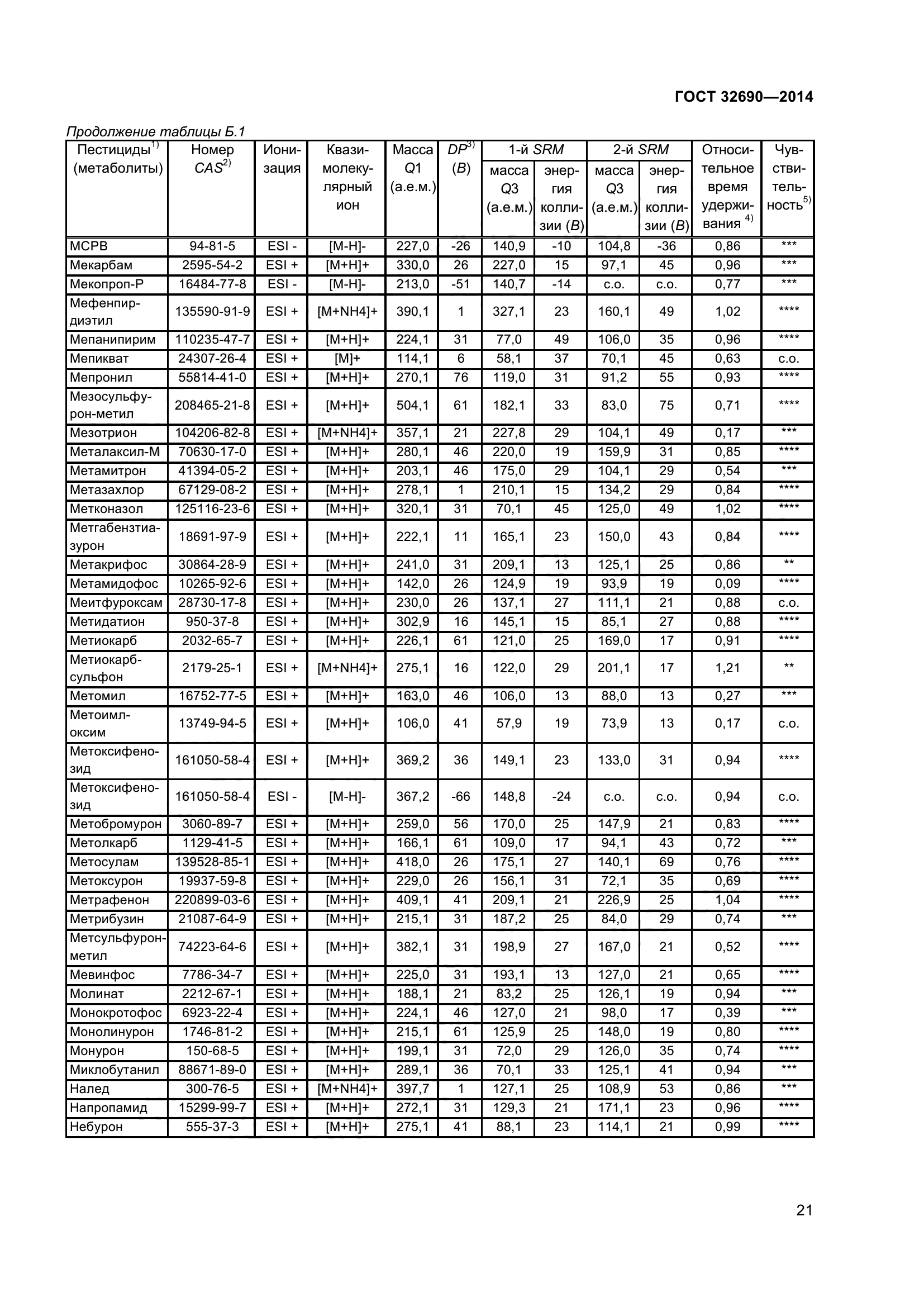
| Область применения: | Настоящий стандарт распространяется на соки и другую соковую продукцию из фруктов и овощей и устанавливает метод определения остаточных количеств пестицидов с применением тандемной высокоэффективной жидкостной хроматомасс-спектрометрии в диапазоне измерений массовой концентрации от 0,0001 до 0,1000 мг/кг |
| Приложение №1: | Поправка к ГОСТ 32690-2014 |
| Приложение №2: | Поправка к ГОСТ 32690-2014 |
|