| Обозначение: |  ГОСТ 30331.1-2013 |
| Статус: | действующий |
| Название рус.: | Электроустановки низковольтные. Часть 1. Основные положения, оценка общих характеристик, термины и определения |
| Дата актуализации текста: | 01.01.2026 |
| Дата актуализации описания: | 01.07.2023 |
| Дата регистрации: | 14.11.2013 |
| Дата издания: | 01.11.2014 |
| Дата введения: | 01.07.2015 |
| Содержит требования: | IEC 60364-1(2005) |
| Нормативные ссылки: | IEC 60038(2009);IEC 60050-441(1984);IEC 60050-442(1998);IEC 60050-691(1973);IEC 60050-826(2004);IEC 60050-903(2013);IEC 60364-4-41(2005);IEC 60364-4-42(2010);IEC 60364-4-44(2007);IEC 60364-5-51(2005);IEC 60364-5-52(2009);IEC 60364-5-53(2002);IEC 60364-5-54(2011);IEC 60364-5-55(2012);IEC 60364-5-56(2009);IEC 60445(2010);IEC 60721;IEC 61936-1(2014);IEC 62305;IEC 62305-1(2010);IEC 62305-2(2010);IEC 62305-3(2010) |
| Область применения: | Настоящий стандарт содержит основополагающие правила проектирования, монтажа и проверки электрических установок. Установленные требования и правила предназначены для обеспечения безопасности людей, домашних животных и имущества от опасностей и повреждений, которые могут возникнуть при использовании электрических установок, и обеспечения надлежащего функционирования электроустановок. В настоящем стандарте электрическое оборудование рассматривается только с точки зрения его выбора и применения в электроустановках |
| Список изменений: | №0 от 26.04.2015 (рег. 26.04.2015) «Дата введения перенесена» |
| Приложение №1: | Поправка к ГОСТ 30331.1-2013 |
| Приложение №2: | Поправка к ГОСТ 30331.1-2013 |
| Приложение №3: | Поправка к ГОСТ 30331.1-2013 |
| Приложение №4: | Поправка к ГОСТ 30331.1-2013 |
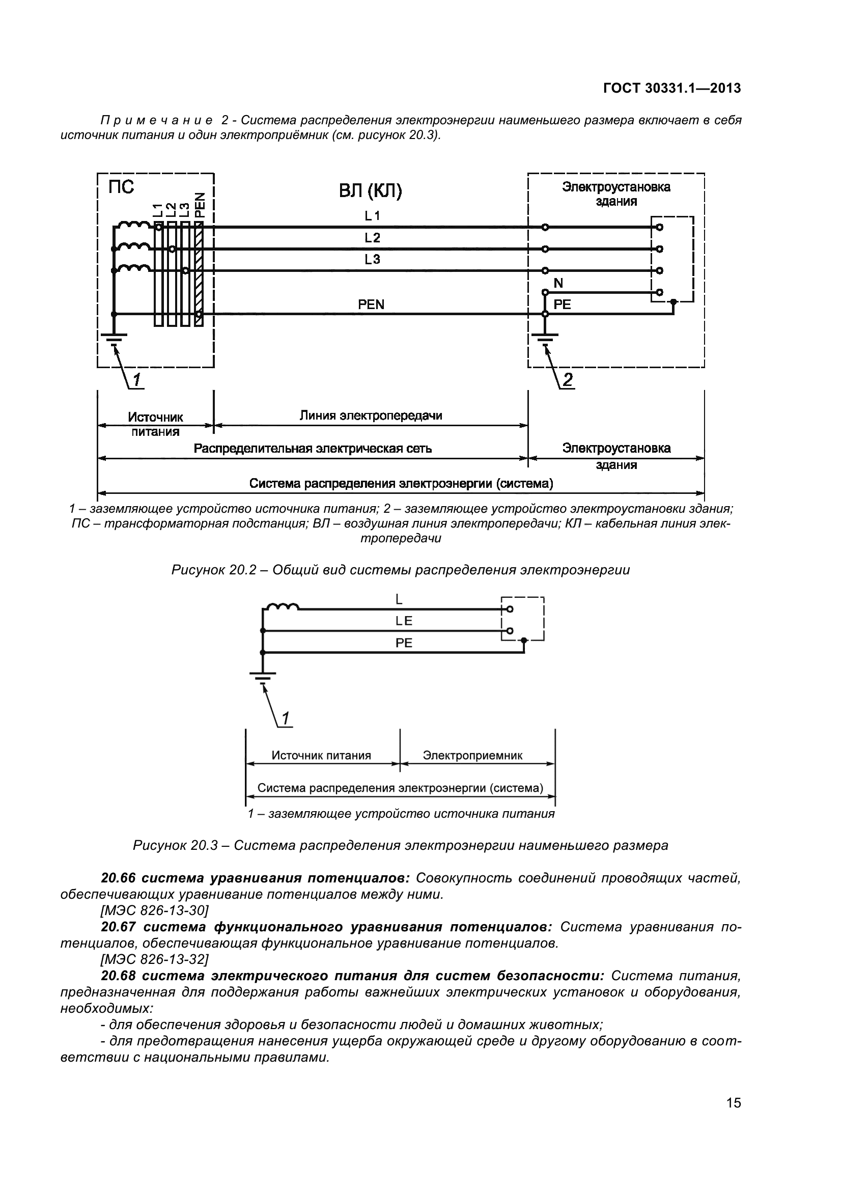
|