Скачать ГОСТ Р 54879-2011 Представление и обмен данными по режущим инструментам. Часть 3. Справочный словарь по инструментальным средствамДата актуализации: 01.06.2025 ГОСТ Р 54879-2011
Представление и обмен данными по режущим инструментам. Часть 3. Справочный словарь по инструментальным средствам
| Обозначение: |  ГОСТ Р 54879-2011 |
| Статус: | действующий |
| Название рус.: | Представление и обмен данными по режущим инструментам. Часть 3. Справочный словарь по инструментальным средствам | | Название англ.: | Cutting tool data representation and exchange. Part 3. Reference dictionary for tool items | | Дата актуализации текста: | 01.01.2021 | | Дата актуализации описания: | 01.01.2021 | | Дата издания: | 31.08.2020 | | Дата введения: | 01.09.2012 | | Аутентичен стандартам: | ISO/TS 13399-3:2007 | | Нормативные ссылки: | ISO/TS 13399-100 | | Область применения: | Настоящий стандарт устанавливает словарь ссылок по инструментальным средствам, а также их описательные свойства и домены значений. Настоящий стандарт устанавливает справочный словарь, содержащий: a) определения и обозначения всех классов инструментальных единиц, а также их характеристики и связанную с ними классификационную схему; b) определения и обозначения всех типов элементов данных, которые представляют характеристики инструментальных единиц и их особенностей; c) определения и обозначения всех областей допустимых значений для описания всех указанных выше типов элементов данных. Для каждого класса, характеристики или области допустимых значений в справочный словарь вводят данные, определенные в настоящем стандарте, и связывают их с компьютерно-зависимыми и удобочитаемыми обозначениями, идентификация которых позволяет получать однозначную ссылку на нее из любого приложения, в котором действует информационная модель ИСО 13399-11 | |
                                                                                                        
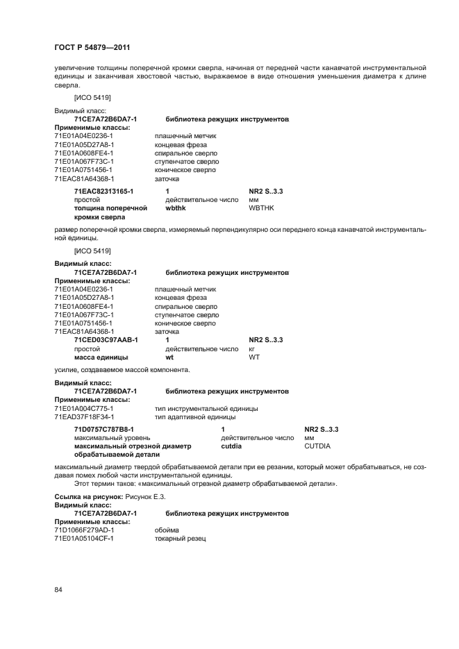
|