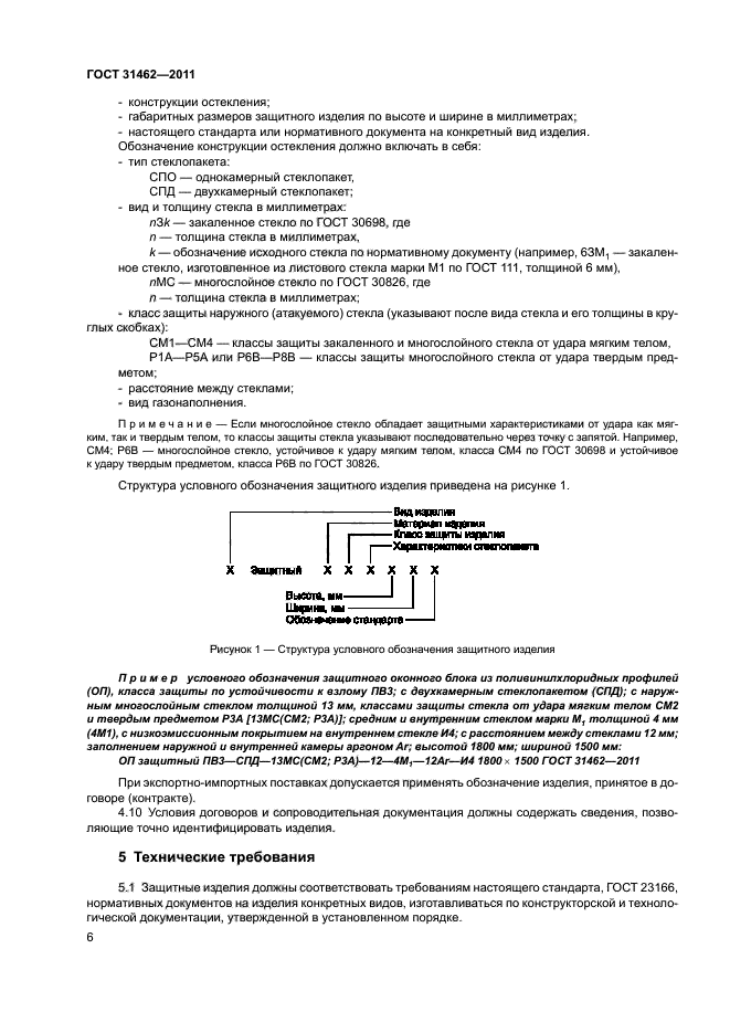
| Обозначение: |  ГОСТ 31462-2011 |
| Статус: | заменён |
| Название рус.: | Блоки оконные защитные. Общие технические условия |
| Название англ.: | Safety windows. General specifications |
| Дата актуализации текста: | 01.01.2021 |
| Дата актуализации описания: | 01.07.2023 |
| Дата регистрации: | 08.12.2011 |
| Дата издания: | 11.02.2014 |
| Дата введения: | 01.04.2013 |
| Дата окончания срока действия: | 01.09.2021 |
| Заменяющий: | ГОСТ 31462-2021 |
| Нормативные ссылки: | ГОСТ 2.601-2006; ГОСТ 12.1.005-88; ГОСТ 12.2.003-91; ГОСТ 111-2001; ГОСТ 166-89; ГОСТ 427-75; ГОСТ 538-2001; ГОСТ 577-68; ГОСТ 5088-2005; ГОСТ 5089-2011; ГОСТ 7502-98; ГОСТ 8026-92; ГОСТ 9013-59; ГОСТ 9416-83; ГОСТ 19091-2000; ГОСТ 21519-2003; ГОСТ 22233-2001; ГОСТ 23166-99; ГОСТ 24700-99; ГОСТ 24866-99; ГОСТ 26602.2-99; ГОСТ 26602.3-99; ГОСТ 26602.4-99; ГОСТ 26602.5-2001; ГОСТ 30673-99; ГОСТ 30698-2000; ГОСТ 30777-2001; ГОСТ 30778-2001; ГОСТ 30826-2001; ГОСТ 30792-2002; ГОСТ 31014-2002 |
| Область применения: | Настоящий стандарт распространяется на защитные оконные и балконные дверные блоки (далее – защитные изделия) жилых, общественных и производственных зданий и сооружений, предназначенные для защиты от ударных нагрузок и нагрузок, возникающих при попытках взлома, а также вызванных высоким ветровым давлением или снеговой нагрузкой. Настоящий стандарт распространяется на защитные оконные и балконные дверные блоки с поворотным, поворотно-откидным и откидным открыванием створок, а также на неоткрывающиеся оконные блоки. Классификация защитных изделий, приведенная в настоящем стандарте, может быть применена для светопрозрачных конструкций с другими видами открывания. Настоящий стандарт не распространяется на защитные изделия, подвергаемые пулевому воздействию и воздействию ударной волны |
|