Скачать ГОСТ Р 55932-2013 Интегрированная логистическая поддержка экспортируемой продукции военного назначения. Эксплуатационная и ремонтная документация. Требования к поставке и внесению измененийДата актуализации: 01.06.2025 ГОСТ Р 55932-2013
Интегрированная логистическая поддержка экспортируемой продукции военного назначения. Эксплуатационная и ремонтная документация. Требования к поставке и внесению изменений
| Обозначение: |  ГОСТ Р 55932-2013 |
| Статус: | действующий |
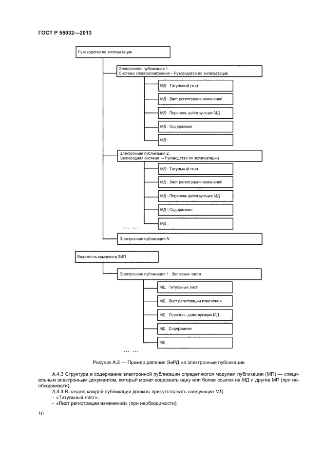
| Название рус.: | Интегрированная логистическая поддержка экспортируемой продукции военного назначения. Эксплуатационная и ремонтная документация. Требования к поставке и внесению изменений | | Дата актуализации текста: | 01.01.2021 | | Дата актуализации описания: | 01.07.2023 | | Дата издания: | 25.12.2018 | | Дата введения: | 01.09.2014 | | Нормативные ссылки: | ГОСТ 2.051; ГОСТ 2.304; ГОСТ 2.601; ГОСТ 2.602; ГОСТ 2.603; ГОСТ 2.610; ГОСТ 7.67; ГОСТ 7.75; ГОСТ 28147; ГОСТ ИСО 8601; ГОСТ Р 34.10; ГОСТ Р 34.11; ГОСТ Р 50739; ГОСТ Р 54089 | | Область применения: | Настоящий стандарт устанавливает требования к способам и процедурам поставки эксплуатационной и ремонтной документации на экспортируемую продукцию военного назначения. Требования настоящего стандарта распространяются на следующие виды продукции военного назначения: - вооружение и военную технику; - системы связи и управления войсками, вооружением и военной техникой; - инженерно-технические сооружения, оборудование для боевого применения вооружения и военной техники (там, где это применимо); - специальное оборудование для производства, ремонта, модернизации и (или) уничтожения (утилизации) вооружения и военной техники (там, где это применимо); - объекты для производства, эксплуатации, ремонта, модернизации и (или) уничтожения (утилизации) вооружения и военной техники (там, где это применимо). На основе настоящего стандарта допускается, при необходимости, разрабатывать стандарты, устанавливающие требования к способам и процедурам поставки эксплуатационной и ремонтной документации на конкретные виды продукции военного назначения с учетом их специфики | |
             
|