Скачать ГОСТ 32591-2013 Фитинги из меди и медных сплавов для соединения медных труб способом прессования. Технические условияДата актуализации: 01.06.2025 ГОСТ 32591-2013
Фитинги из меди и медных сплавов для соединения медных труб способом прессования. Технические условия
| Обозначение: |  ГОСТ 32591-2013 |
| Статус: | действующий |
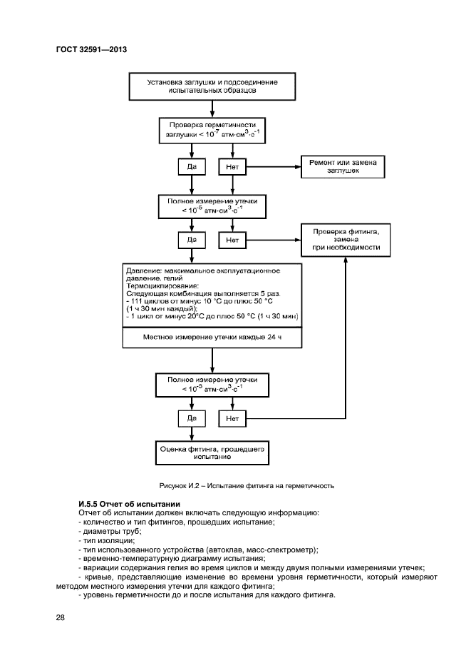
| Название рус.: | Фитинги из меди и медных сплавов для соединения медных труб способом прессования. Технические условия | | Дата актуализации текста: | 01.01.2021 | | Дата актуализации описания: | 01.07.2023 | | Дата регистрации: | 27.12.2013 | | Дата издания: | 01.09.2014 | | Дата введения: | 01.01.2015 | | Нормативные ссылки: | ГОСТ 166-89; ГОСТ 269-66; ГОСТ 270-75; ГОСТ 613-79; ГОСТ 859-2001; ГОСТ 1953.1-79; ГОСТ 1953.2-79; ГОСТ 1953.3-79; ГОСТ 1953.4-79; ГОСТ 1953.5-79; ГОСТ 1953.6-79; ГОСТ 1953.7-79; ГОСТ 1953.8-79; ГОСТ 1953.9-79; ГОСТ 1953.10-79; ГОСТ 1953.11-79; ГОСТ 1953.12-79; ГОСТ 1953.13-79; ГОСТ 1953.14-79; ГОСТ 1953.15-79; ГОСТ 1953.16-79; ГОСТ 2768-84; ГОСТ 2991-85; ГОСТ 3282-74; ГОСТ 3560-73; ГОСТ 4461-77; ГОСТ 6507-90; ГОСТ 7376-89; ГОСТ 9557-87; ГОСТ 9717.1-82; ГОСТ 9717.2-82; ГОСТ 9717.3-82; ГОСТ 10198-91; ГОСТ 10354-82; ГОСТ 12082-82; ГОСТ 13938.1-78; ГОСТ 13938.2-78; ГОСТ 13938.3-78; ГОСТ 13938.4-78; ГОСТ 13938.5-78; ГОСТ 13938.6-78; ГОСТ 13938.7-78; ГОСТ 13938.8-78; ГОСТ 13938.9-78; ГОСТ 13938.10-78; ГОСТ 13938.11-78; ГОСТ 13938.12-78; ГОСТ 13938.13-93; ГОСТ 13938.15-88; ГОСТ 14192-96; ГОСТ 15102-75; ГОСТ 15846-2002; ГОСТ 18829-73; ГОСТ 21650-76; ГОСТ 22225-76; ГОСТ 24231-80; ГОСТ 24597-81; ГОСТ 25086-2011; ГОСТ 26663-85; ГОСТ 31382-2009; ГОСТ ИСО 7323-96 | | Область применения: | Настоящий стандарт распространяется на фитинги из меди и медных сплавов, предназначенные для соединения способом прессования медных труб и устанавливает требования к пресс соединениям, используемым при монтаже трубопроводов в системах питьевого водоснабжения, холодного и горячего водоснабжения, водяного (парового) отопления, нагревательных и охлаждающих системах, канализации, водоочистных сооружений и газоснабжения. Стандарт устанавливает допустимые эксплуатационные температуры, максимальное эксплуатационное давление, сортамент, технические требования, правила приемки, методы контроля и испытаний, маркировку и упаковку фитингов | |
                                        
|