| Обозначение: |  ГОСТ 31548-2012 |
| Статус: | действующий |
| Название рус.: | Катки дорожные самоходные. Общие технические условия |
| Название англ.: | Self-propelled road rollers. General specifications |
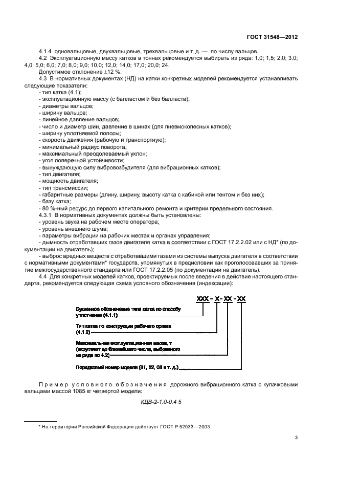
| Дата актуализации текста: | 06.04.2015 |
| Дата актуализации описания: | 01.07.2023 |
| Дата регистрации: | 24.05.2012 |
| Дата издания: | 02.12.2013 |
| Дата введения: | 01.01.2014 |
| Нормативные ссылки: | ГОСТ 2.601-2006; ГОСТ 2.602-95; ГОСТ 9.014-78; ГОСТ 9.032-74; ГОСТ 9.104-79; ГОСТ 9.301-86; ГОСТ 12.1.003-83; ГОСТ 12.1.004-91; ГОСТ 12.1.005-88; ГОСТ 12.1.012-2004; ГОСТ 12.2.007.0-75; ГОСТ 17.2.2.02-98; ГОСТ 17.2.2.05-97; ГОСТ 7751-2009; ГОСТ 8769-75; ГОСТ 12969-67; ГОСТ 14192-96; ГОСТ 15150-69; ГОСТ 17411-91; ГОСТ 21994-82; ГОСТ 25044-81; ГОСТ 25646-95; ГОСТ 27252-87; ГОСТ 27256-87; ГОСТ 27257-87; ГОСТ 27518-87; ГОСТ 27533-87; ГОСТ 27534-87; ГОСТ 27715-88; ГОСТ 27717-88; ГОСТ 27718-88; ГОСТ 27922-88; ГОСТ 27927-88; ГОСТ 28634-90; ГОСТ 28983-91; ГОСТ 29292-92 |
| Область применения: | Настоящий стандарт распространяется на дорожные самоходные катки, предназначенные для уплотнения дорожных оснований и дорожных покрытий |
|