| Обозначение: |  ГОСТ 25543-2013 |
| Статус: | действующий |
| Название рус.: | Угли бурые, каменные и антрациты. Классификация по генетическим и технологическим параметрам |
| Дата актуализации текста: | 01.06.2022 |
| Дата актуализации описания: | 01.07.2023 |
| Дата регистрации: | 05.11.2013 |
| Дата издания: | 17.09.2019 |
| Дата введения: | 01.01.2015 |
| Взамен: | ГОСТ 25543-88 |
| Нормативные ссылки: | ГОСТ ISO 562;ГОСТ ISO 5071-1;ГОСТ ISO 7404-3;ГОСТ ISO 7404-5; ГОСТ 147; ГОСТ 1186; ГОСТ 3168; ГОСТ 7303; ГОСТ 8858; ГОСТ 9815; ГОСТ 11223; ГОСТ 17070; ГОСТ 20330; ГОСТ 27313; ГОСТ 30313; ГОСТ Р 55662-2013; ГОСТ Р 55659-2013; ГОСТ Р 54245-2010; ГОСТ Р 55660-2013 |
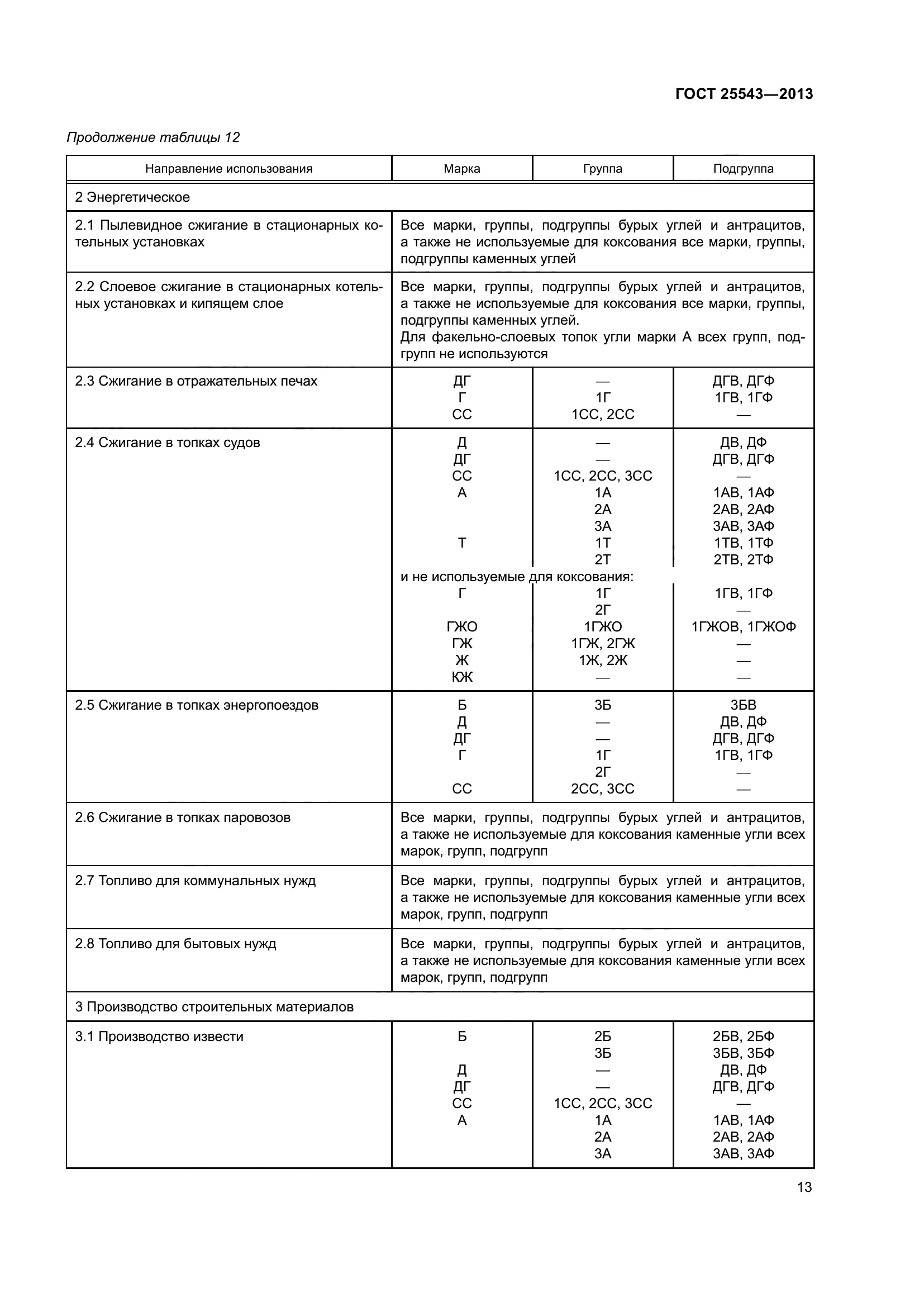
| Область применения: | Настоящий стандарт распространяется на неокисленные бурые, каменные угли и антрациты стран, входящих в состав Содружества независимых государств, и устанавливает их классификацию по видам, классам, категориям, типам, подтипам и кодовым номерам, а также технологическим маркам, группам и подгруппам на основе наиболее характерных общих признаков, отражающих генетические особенности и основные технологические характеристики |
| Список изменений: | №0 от 03.03.2015 (рег. 03.03.2015) «Дата введения перенесена» |
| Приложение №1: | Поправка к ГОСТ 25543-2013 |
| Приложение №2: | Поправка к ГОСТ 25543-2013 |
| Приложение №3: | Поправка к ГОСТ 25543-2013 |
|