| Обозначение: |  ГОСТ 12571-2013 |
| Статус: | действующий |
| Название рус.: | Сахар. Метод определения сахарозы. Пересмотр ГОСТ (ГОСТ 12571-98). Частичное применение МС с дополнением - EQV/NEQ (GS2/|3-1 ICUMSA). |
| Дата актуализации текста: | 01.01.2023 |
| Дата актуализации описания: | 01.07.2023 |
| Дата регистрации: | 03.12.2013 |
| Дата издания: | 29.11.2019 |
| Дата введения: | 01.02.2015 |
| Взамен: | ГОСТ 12571-98 |
| Нормативные ссылки: | ГОСТ OIML R 76-1; ГОСТ 1027; ГОСТ 1770; ГОСТ 4453; ГОСТ 5539; ГОСТ 6709; ГОСТ 9147; ГОСТ 10733; ГОСТ 12026; ГОСТ 12575; ГОСТ 17299; ГОСТ 18300; ГОСТ 18481; ГОСТ 25336; ГОСТ 26884; ГОСТ 28498; ГОСТ Р 58144-2018; ГОСТ Р 55878-2013 |
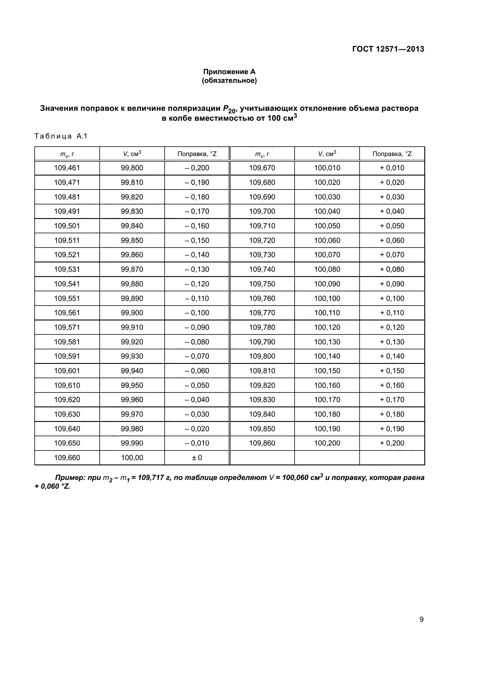
| Область применения: | Настоящий стандарт распространяется на белый сахар (кристаллический, кусковой), сахар-песок, тростниковый сахар-сырец и устанавливает поляриметрический метод определения массовой доли сахарозы |
| Приложение №1: | Изменение №1 к ГОСТ 12571-2013 |
| Приложение №2: | Поправка к ГОСТ 12571-2013 |
|