Скачать ГОСТ Р 55898-2013 Технические средства радиосвязи. Взаимные радиопомехи в локальной группировке. Методы расчетаДата актуализации: 01.06.2025 ГОСТ Р 55898-2013
Технические средства радиосвязи. Взаимные радиопомехи в локальной группировке. Методы расчета
| Обозначение: |  ГОСТ Р 55898-2013 |
| Статус: | действующий |
| Название рус.: | Технические средства радиосвязи. Взаимные радиопомехи в локальной группировке. Методы расчета | | Дата актуализации текста: | 01.01.2021 | | Дата актуализации описания: | 01.07.2023 | | Дата издания: | 06.04.2020 | | Дата введения: | 01.07.2014 | | Нормативные ссылки: | ГОСТ Р 50397; ГОСТ 23611; ГОСТ 23872; ГОСТ 24375 | | Область применения: | Настоящий стандарт распространяется на технические средства радиосвязи, размещенные в локальной группировке, работающие в полосе частот от 27 МГц до 40 ГГц. Стандарт устанавливает методы расчета параметров радиопомех от передатчиков группировки приемникам группировки, для которых рассматриваемые передатчики не являются корреспондентами. Учитывается воздействие излучений передатчиков через антенну на приемники по антенному порту. Не учитывается влияния передатчиков, расположенных вне группировки, на приемники группировки; не учитывается электромагнитный шум, в том числе индустриальные радиопомехи. Методы расчета, установленные в настоящем стандарте, применяют на стадиях проектирования объектов связи и навигации. Методы учитывают топографию проектируемого объекта и технические характеристики оборудования | |
              
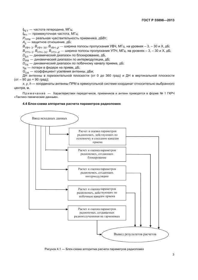
|