Скачать ГОСТ 32195-2013 Корма, комбикорма. Метод определения содержания аминокислотДата актуализации: 01.06.2025 ГОСТ 32195-2013
Корма, комбикорма. Метод определения содержания аминокислот
| Обозначение: |  ГОСТ 32195-2013 |
| Статус: | действующий |
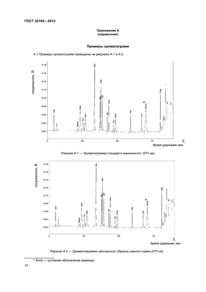
| Название рус.: | Корма, комбикорма. Метод определения содержания аминокислот | | Дата актуализации текста: | 01.01.2021 | | Дата актуализации описания: | 01.07.2023 | | Дата регистрации: | 14.11.2013 | | Дата издания: | 22.07.2020 | | Дата введения: | 01.07.2015 | | Содержит требования: | ISO 13903:2005 | | Нормативные ссылки: | ГОСТ 177; ГОСТ 1770; ГОСТ 3118; ГОСТ 4204; ГОСТ 4233; ГОСТ 4328; ГОСТ 4478; ГОСТ 5848; ГОСТ 9293; ГОСТ 13496.0; ГОСТ 22280; ГОСТ 24104; ГОСТ 25336; ГОСТ 29227 | | Область применения: | Настоящий стандарт распространяется на корма, комбикорма, премиксы и устанавливает метод определения содержания свободных (синтетических и натуральных) аминокислот и общего содержания (свободных и связанных форм в сумме) отдельных аминокислот с применением аминокислотного анализатора или ВЭЖХ оборудования | |
                      
|