Скачать ГОСТ ISO 24444-2013 Продукция косметическая. Методы испытаний защиты от солнца. Определение солнцезащитного фактора (SPF) на живых организмах (in vivo)Дата актуализации: 01.06.2025 ГОСТ ISO 24444-2013
Продукция косметическая. Методы испытаний защиты от солнца. Определение солнцезащитного фактора (SPF) на живых организмах (in vivo)
| Обозначение: |  ГОСТ ISO 24444-2013 |
| Статус: | действующий |
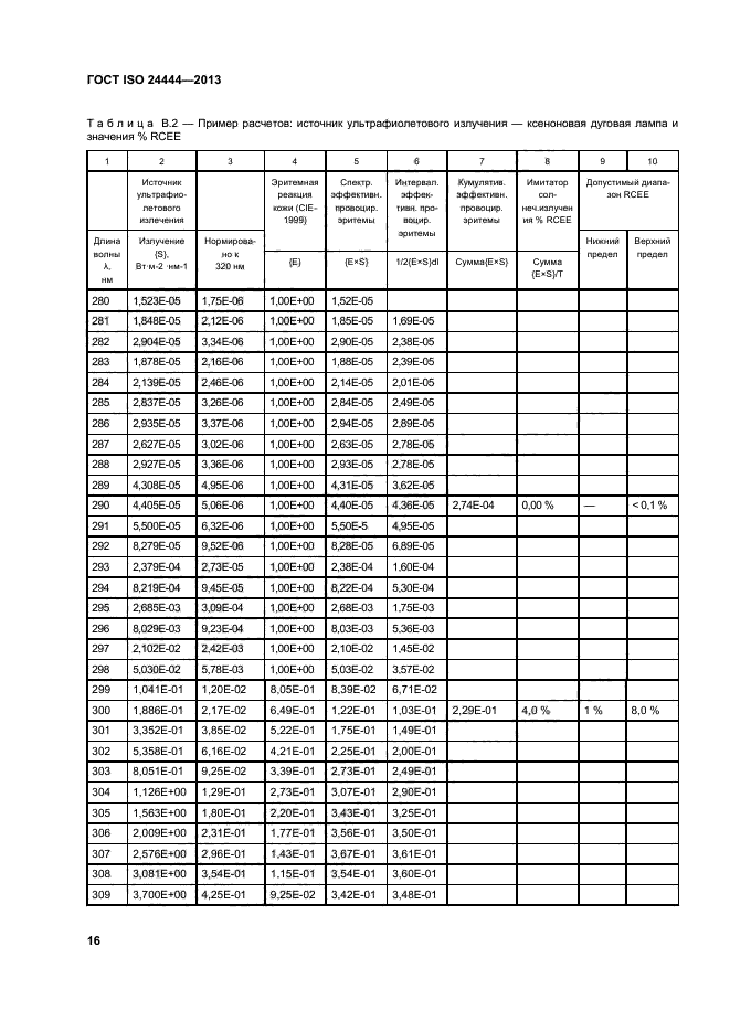
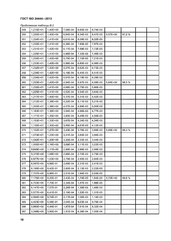
| Название рус.: | Продукция косметическая. Методы испытаний защиты от солнца. Определение солнцезащитного фактора (SPF) на живых организмах (in vivo) | | Дата актуализации текста: | 01.01.2021 | | Дата актуализации описания: | 01.01.2021 | | Дата регистрации: | 14.11.2013 | | Дата издания: | 02.10.2014 | | Дата введения: | 01.01.2015 | | Аутентичен стандартам: | ISO 24444:2010 | | Область применения: | Настоящий стандарт устанавливает метод определения солнцезащитного фактора (SPF) косметической солнцезащитной продукции (далее – солнцезащитной продукции) на живых организмах (in vivo). Стандарт распространяется на косметическую продукцию, которая содержит компоненты, способные поглощать, отражать или рассеивать ультрафиолетовые лучи, и которая предназначена для нанесения на кожу человека.Настоящий стандарт устанавливает требования для оценки способности солнцезащитной продукции защищать кожу человека от эритемы, вызванной ультрафиолетовыми лучами солнца. | |
                                         
|