Скачать ГОСТ Р 55816-2013 Методология оценки опасности неэлектрического оборудования и элементов, предназначенных для применения в потенциально взрывоопасных средахДата актуализации: 01.06.2025 ГОСТ Р 55816-2013
Методология оценки опасности неэлектрического оборудования и элементов, предназначенных для применения в потенциально взрывоопасных средах
| Обозначение: |  ГОСТ Р 55816-2013 |
| Статус: | действующий |
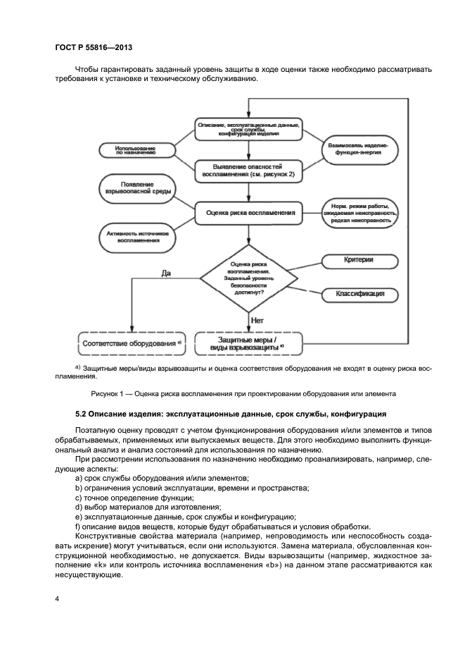
| Название рус.: | Методология оценки опасности неэлектрического оборудования и элементов, предназначенных для применения в потенциально взрывоопасных средах | | Дата актуализации текста: | 01.01.2021 | | Дата актуализации описания: | 01.07.2023 | | Дата издания: | 27.11.2019 | | Дата введения: | 01.07.2015 | | Содержит требования: | EN 15198:2007 | | Нормативные ссылки: | ГОСТ 31438.1; ГОСТ 31438.2 | | Область применения: | Настоящий стандарт содержит общую методологию, применяемую при обеспечении безопасности оборудования, предназначенного для применения в потенциально взрывоопасных средах. Требования настоящего стандарта предназначены для конструкторов, а также для разработчиков стандартов. Настоящий стандарт устанавливает методику и содержит информацию, необходимую для проведения оценки риска воспламенения вызванного конструкцией оборудования или элемента. В стандарте содержатся рекомендации по классификации оборудования, однако в нем не указаны средства для подтверждения соответствия уровням взрывозащиты оборудования. Целью настоящего стандарта является разработка и производство оборудования или элементов, предназначенных для применения в потенциально взрывоопасных средах. В конструкции оборудования или элементов, при необходимости, должны быть предусмотрены меры предупреждения и/или защиты. Настоящий стандарт не распространяется на оборудование, у которого в режиме эксплуатации потенциально взрывоопасная среда присутствует внутри, а не снаружи. Настоящий стандарт распространяется на все уровни взрывозащитыт оборудования, указанные в ЕН 13463-1[1] | |
                 
|