| Обозначение: |  ГОСТ 32304-2013 |
| Статус: | действующий |
| Название рус.: | Ламинированные напольные покрытия на основе древесноволокнистых плит сухого способа производства. Технические условия |
| Дата актуализации текста: | 01.01.2026 |
| Дата актуализации описания: | 01.01.2026 |
| Дата регистрации: | 14.11.2013 |
| Дата издания: | 01.04.2014 |
| Дата введения: | 01.07.2014 |
| Нормативные ссылки: | ГОСТ 12.1.004-91; ГОСТ 12.3.042-88; ГОСТ 12.4.009-83; ГОСТ 12.4.011-89; ГОСТ 166-89; ГОСТ 3749-77; ГОСТ 7502-98; ГОСТ 7661-67; ГОСТ 8026-92; ГОСТ 8925-68; ГОСТ 11358-89; ГОСТ 23234-78; ГОСТ 27627-88; ГОСТ 27680-88; ГОСТ 27820-88; ГОСТ 24053; ГОСТ 32274 |
| Область применения: | Настоящий стандарт распространяется на ламинированные напольные покрытия, изготовленные из облицованных пленками на основе термореактивных полимеров древесноволокнистых плит средней или высокой плотности или плит древесных моноструктурных, предназначенных для использования в помещениях, защищенных от воздействия влаги |
| Приложение №1: | Изменение №1 к ГОСТ 32304-2013 |
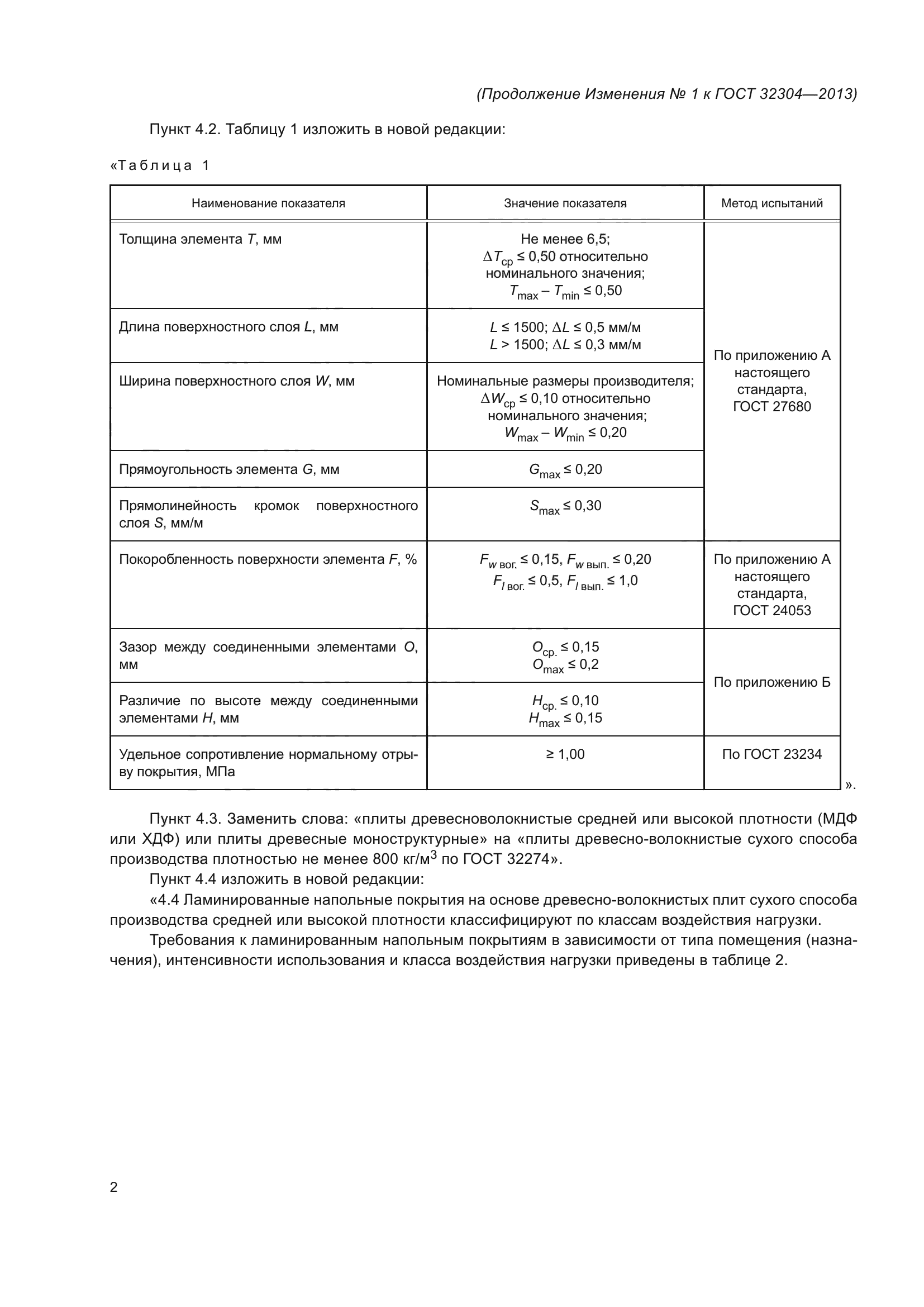
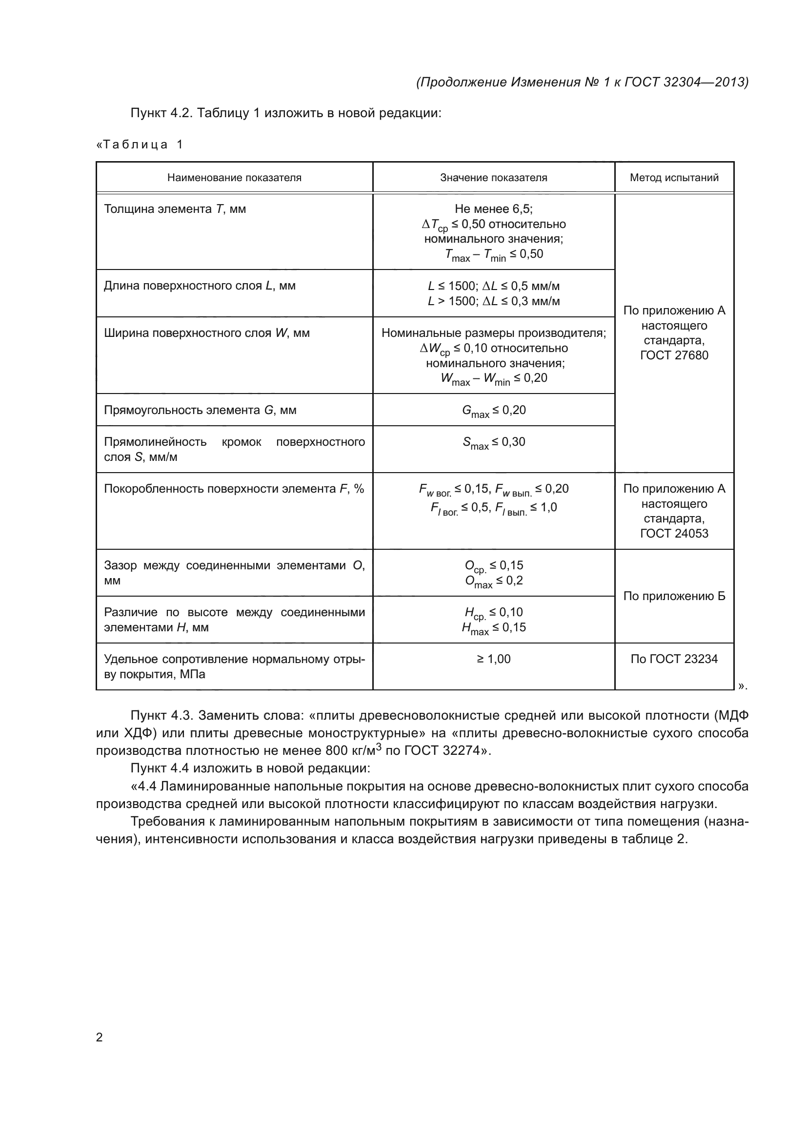
|