Скачать ГОСТ Р 50779.80-2013 Статистические методы. Анализ совпадения результатов проверок по альтернативному признакуДата актуализации: 01.06.2025 ГОСТ Р 50779.80-2013
Статистические методы. Анализ совпадения результатов проверок по альтернативному признаку
| Обозначение: |  ГОСТ Р 50779.80-2013 |
| Статус: | действующий |
| Название рус.: | Статистические методы. Анализ совпадения результатов проверок по альтернативному признаку | | Дата актуализации текста: | 01.06.2021 | | Дата актуализации описания: | 01.07.2023 | | Дата издания: | 22.09.2020 | | Дата введения: | 01.12.2014 | | Аутентичен стандартам: | ISO/TR 14468:2010 | | Нормативные ссылки: | ISO 3534-1;ISO 3534-2 | | Область применения: | В настоящем стандарте установлен метод анализа процесса, когда результатами определения значений контролируемой характеристики качества являются данные проверки или контроля по альтернативному признаку (в том числе неупорядоченные и упорядоченные данные). В настоящем стандарте приведены примеры анализа совпадения результатов проверок по альтернативному признаку (AAA) с различными выводами относительно совпадения оценок аттестующими исследуемого объекта в процессе испытаний (далее оценок аттестующих), в том числе совпадения оценок одного аттестующего, совпадения оценок, полученных несколькими аттестующими, совпадение оценок каждого аттестующего со стандартной оценкой и совпадения оценок всех аттестующих со стандартной оценкой | |
                                           
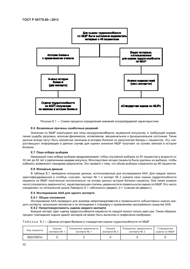
|