| Обозначение: |  ГОСТ 32407-2013 |
| Статус: | действующий |
| Название рус.: | Взрывоопасные среды. Часть 36. Неэлектрическое оборудование для взрывоопасных сред. Общие требования и методы испытаний |
| Дата актуализации текста: | 01.01.2021 |
| Дата актуализации описания: | 01.01.2026 |
| Дата регистрации: | 14.11.2013 |
| Дата издания: | 05.02.2015 |
| Дата введения: | 01.07.2015 |
| Дата окончания срока действия: | 01.01.2027 |
| Заменяющий: | ГОСТ 31610.36-2024 |
| Содержит требования: | ISO/DIS 80079-36 |
| Нормативные ссылки: | ГОСТ ISO/DIS 80079-37-2013;ГОСТ IEC 60079-1-2013;ГОСТ IEC 60079-2-2011;ГОСТ IEC 60079-31-2013 |
| Область применения: | Настоящий стандарт устанавливает основные методы и общие требования к разработке, изготовлению, испытаниям и маркировке неэлектрического оборудования и Ех-компонентов защитных систем, устройств и узлов, смонтированных из этих изделий, содержащих собственные источники воспламенения и предназначенных для использования во взрывоопасных средах |
| Приложение №1: | Поправка к ГОСТ 32407-2013 |
| Приложение №2: | Поправка к ГОСТ 32407-2013 |
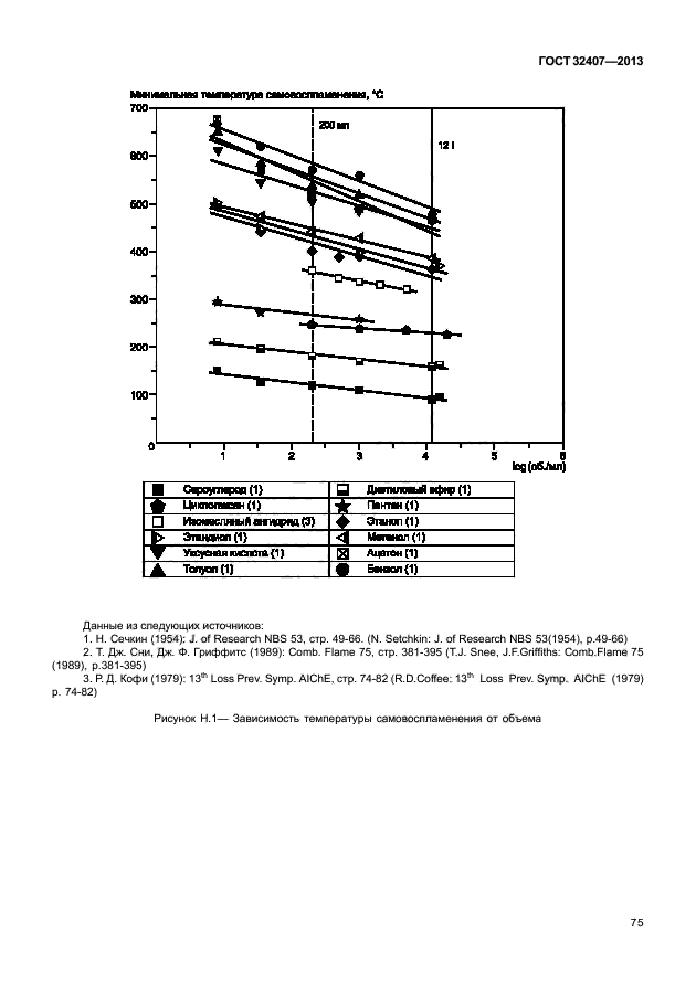
|