Скачать ГОСТ 18077-2013 Консервы. Соусы фруктовые. Технические условияДата актуализации: 01.06.2025 ГОСТ 18077-2013
Консервы. Соусы фруктовые. Технические условия
| Обозначение: |  ГОСТ 18077-2013 |
| Статус: | действующий |
| Название рус.: | Консервы. Соусы фруктовые. Технические условия | | Дата актуализации текста: | 01.01.2021 | | Дата актуализации описания: | 01.07.2023 | | Дата регистрации: | 27.06.2013 | | Дата издания: | 06.12.2019 | | Дата введения: | 01.07.2015 | | Взамен: | ГОСТ 18077-72 | | Нормативные ссылки: | ГОСТ 8.579; ГОСТ 21;ГОСТ ISO 762; ГОСТ 908;ГОСТ ISO 2173; ГОСТ 4427; ГОСТ 4429; ГОСТ 5717.2; ГОСТ 6828; ГОСТ 6829; ГОСТ 8756.1; ГОСТ 8756.18; ГОСТ 10117.2; ГОСТ 14192; ГОСТ 16270; ГОСТ 16524; ГОСТ 16831; ГОСТ 19215; ГОСТ 19792; ГОСТ 20450; ГОСТ 21122; ГОСТ 21405; ГОСТ 21713; ГОСТ 21714; ГОСТ 21832; ГОСТ 21920; ГОСТ 21921; ГОСТ 25555.3; ГОСТ 25749; ГОСТ 26313; ГОСТ 26323; ГОСТ 26669; ГОСТ 26670; ГОСТ 26671; ГОСТ 26927; ГОСТ 26929; ГОСТ 26930; ГОСТ 26932; ГОСТ 26933; ГОСТ 28038; ГОСТ 28501; ГОСТ 28502; ГОСТ 29046; ГОСТ 29047; ГОСТ 29048; ГОСТ 29049; ГОСТ 30178; ГОСТ 30349; ГОСТ 30425; ГОСТ 30538; ГОСТ 30710; ГОСТ 31628; ГОСТ 31895; ГОСТ 31904; ГОСТ 33222-2015; ГОСТ Р 54697-2011; ГОСТ 32283-2013; ГОСТ 32787-2014; ГОСТ 32896-2014;ГОСТ ISO 1003-2016;ГОСТ ISO 2254-2016 | | Область применения: | Настоящий стандарт распространяется на фруктовые соусы, изготовленные из свежих, быстрозамороженных фруктов или фруктовых полуфабрикатов, с добавлением сахара, пектина, пищевых кислот, с добавлением или без добавления глюкозно-фруктозной патоки, пряностей, орехов, предназначенные для реализации в розничной торговле и использования в сети общественного питания | |
             
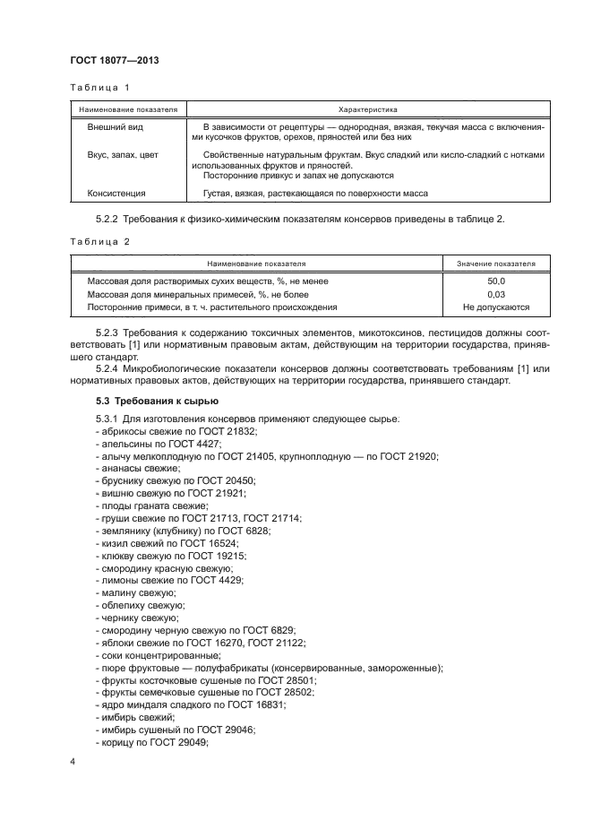
|