| Обозначение: |  ГОСТ Р 55696-2013 |
| Статус: | действующий |
| Название рус.: | Телевидение вещательное цифровое. Передающее оборудование для цифрового наземного телевизионного вещания DVB-T/T2. Технические требования. Основные параметры. Методы измерений |
| Дата актуализации текста: | 01.01.2021 |
| Дата актуализации описания: | 01.07.2023 |
| Дата издания: | 06.04.2020 |
| Дата введения: | 01.09.2014 |
| Нормативные ссылки: | ГОСТ Р 52210; ГОСТ 30804.4.11-2013; ГОСТ Р 51317.4.5; ГОСТ 7845-92; ГОСТ 12.1.006; ГОСТ 12.3.019; ГОСТ 16019; ГОСТ 20532-83; ГОСТ 30804.4.2-2013; ГОСТ 30804.4.3-2013; ГОСТ 30804.4.4-2013 |
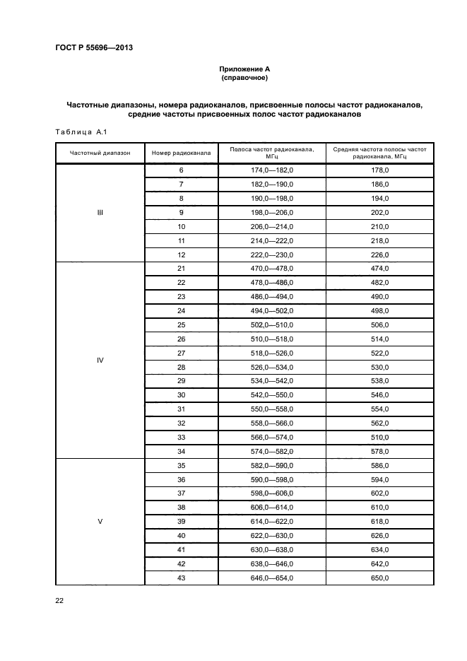
| Область применения: | Настоящий стандарт распространяется на передающее оборудование системы наземного цифрового телевизионного вещания DVB-T [1], DVB-T2 [2], использующее III, IV, V частотные диапазоны по ГОСТ 7845 |
|