| Обозначение: |  ГОСТ Р 55670-2013 |
| Статус: | заменён |
| Название рус.: | Маты спортивные. Часть 4. Определение амортизационных характеристик |
| Дата актуализации текста: | 01.06.2022 |
| Дата актуализации описания: | 01.07.2023 |
| Дата издания: | 27.11.2019 |
| Дата введения: | 01.01.2015 |
| Дата окончания срока действия: | 01.07.2022 |
| Код ОКП: | 961930 |
| Заменяющий: | ГОСТ Р 55670-2021 |
| Нормативные ссылки: | ГОСТ Р ЕН 1177 |
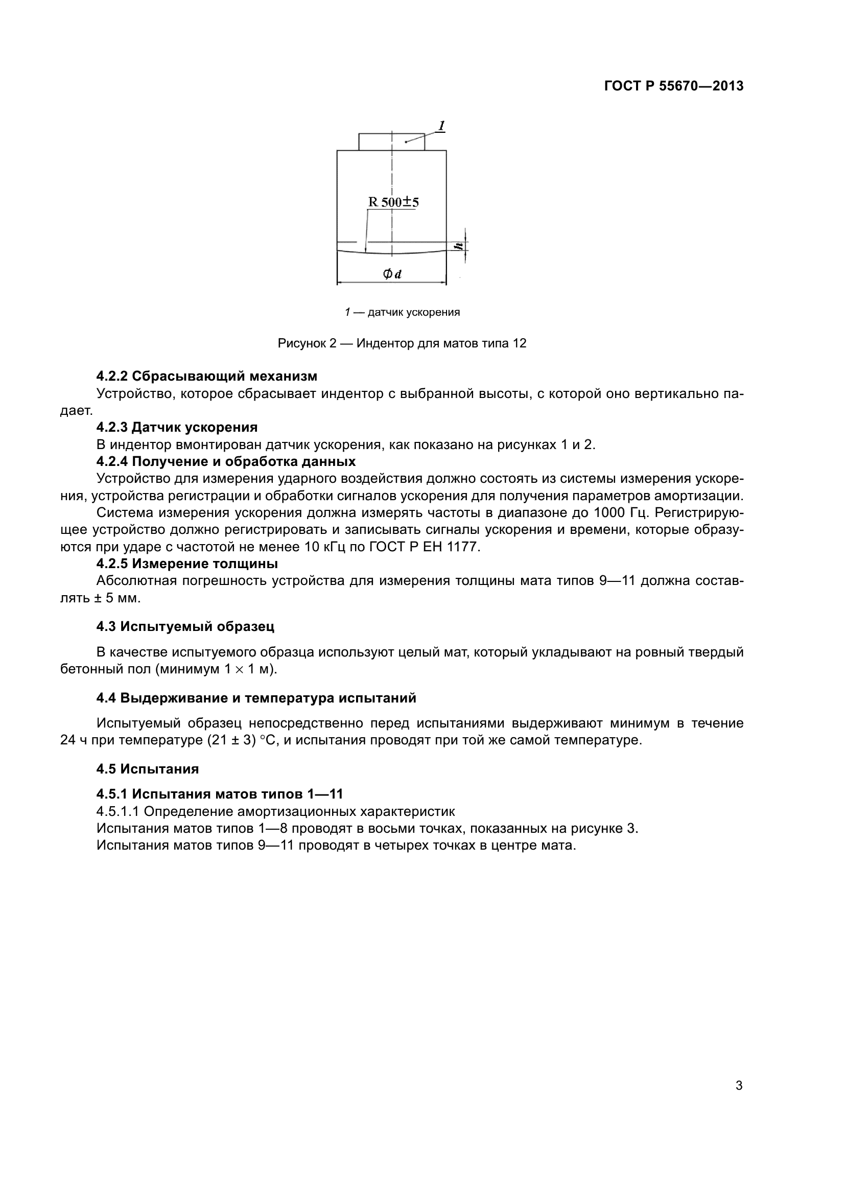
| Область применения: | Настоящий стандарт распространяется на спортивные маты. Стандарт устанавливает методы испытаний для определения амортизационных характеристик спортивных матов типов 1 – 12 |
|