| Обозначение: |  ГОСТ 32031-2012 |
| Статус: | заменён |
| Название рус.: | Продукты пищевые. Методы выявления бактерий Listeria Monocytogenes |
| Дата актуализации текста: | 01.01.2021 |
| Дата актуализации описания: | 01.07.2023 |
| Дата регистрации: | 03.12.2012 |
| Дата издания: | 01.04.2014 |
| Дата введения: | 01.07.2014 |
| Дата окончания срока действия: | 01.01.2023 |
| Заменяющий: | ГОСТ 32031-2022 |
| Нормативные ссылки: | ISO 11290-1:1996/Amd.1:2004;ГОСТ ISO 7218–2011;ГОСТ ISO 11133-1–2011;ГОСТ ISO 11133-2–2011;ГОСТ ISO 16140–2011; ГОСТ 10444.1–84; ГОСТ 26668–85; ГОСТ 26669–85; ГОСТ 26670–91; ГОСТ 30425–97 |
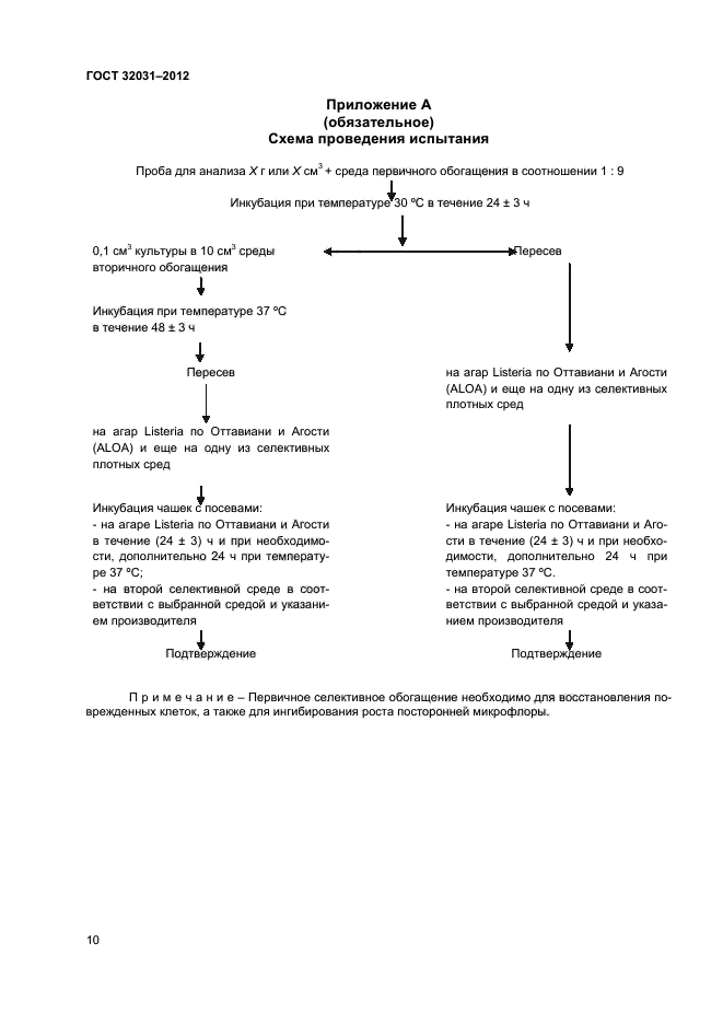
| Область применения: | Настоящий стандарт распространяется на пищевые продукты и устанавливает методы выявления бактерий Listeria monocytogenes |
| Приложение №1: | Поправка к ГОСТ 32031-2012 |
|