| Обозначение: |  ГОСТ Р 55355-2012 |
| Статус: | действующий |
| Название рус.: | Форматы описания и нормирования требований. Система информации о показателях и требованиях к пищевой продукции |
| Дата актуализации текста: | 06.04.2015 |
| Дата актуализации описания: | 01.07.2023 |
| Дата введения: | 01.01.2014 |
| Нормативные ссылки: | ГОСТ Р ИСО 22000-2007; ГОСТ Р ИСО/ТС 22004-2008; ГОСТ Р ИСО 22005-2009; ГОСТ Р 53755-2009 |
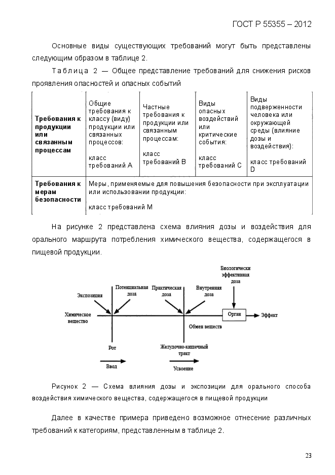
| Область применения: | Настоящий стандарт является одним из стандартов комплекса стандартов на форматы описания и нормирования требований (ФОНТ).Комплекс стандартов на форматы описания и нормирования требований (ФОНТ) создается для нормативно-методического обеспечения разработки технических регламентов и стандартов в различных областях промышленности и экономики, а также для целей информационного обеспечения и более широкого применения менеджмента знаний и проектного менеджмента, включая процедуры добросовестной практики, в том числе для государственного сектора |
|