| Обозначение: |  ГОСТ Р 55079-2012 |
| Статус: | действующий |
| Название рус.: | Сталь. Метод атомно-эмиссионного анализа с индуктивно связанной плазмой |
| Дата актуализации текста: | 01.01.2021 |
| Дата актуализации описания: | 01.07.2023 |
| Дата издания: | 31.03.2016 |
| Дата введения: | 01.01.2014 |
| Нормативные ссылки: | ГОСТ Р ИСО 5725-1-2002; ГОСТ Р ИСО 5725-2-2002; ГОСТ Р ИСО 5725-3-2002; ГОСТ Р ИСО 5725-4-2002; ГОСТ Р 53228-2008; ГОСТ Р 54569-2011; ГОСТ 83-79; ГОСТ 123-98; ГОСТ 849-97; ГОСТ 859-2001; ГОСТ 1770-74; ГОСТ 3118-77; ГОСТ 4199-76; ГОСТ 4204-77; ГОСТ 4328-77; ГОСТ 4461-77; ГОСТ 5905-2004; ГОСТ 6008-90; ГОСТ 6552-80; ГОСТ 6563-75; ГОСТ 6709-72; ГОСТ 9227-91; ГОСТ 9428-73; ГОСТ 10157-79; ГОСТ 10484-78; ГОСТ 11069-2001; ГОСТ 12349-83; ГОСТ 13610-79; ГОСТ 17746-96; ГОСТ 18289-78; ГОСТ 19908-90; ГОСТ 25336-82; ГОСТ 28473-90; ГОСТ 29227-91 |
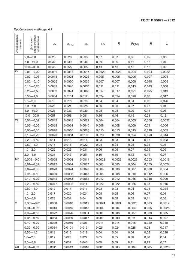
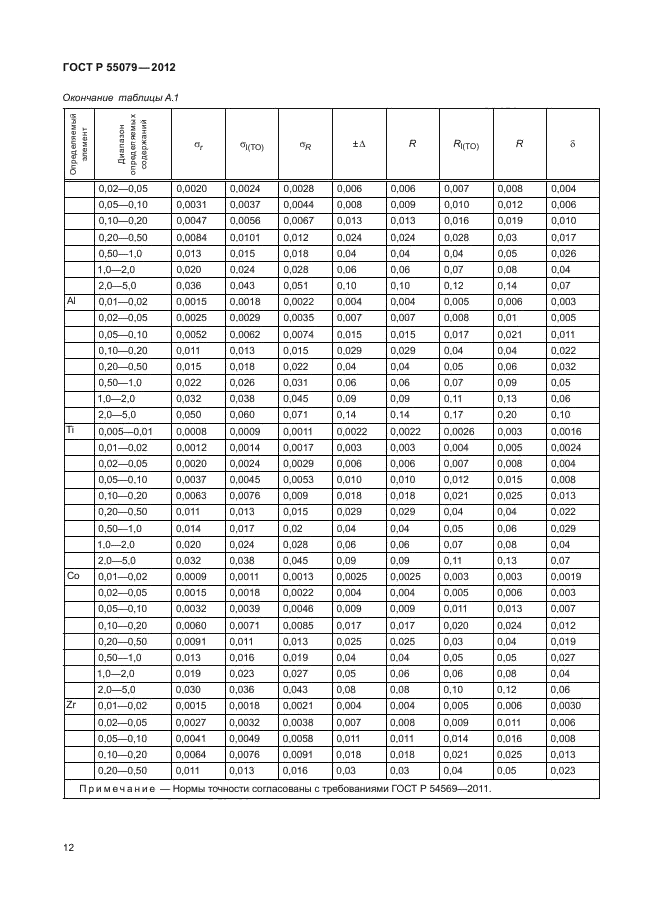
| Область применения: | Настоящий стандарт устанавливает атомно-эмиссионный с индуктивно связанной плазмой спектрометрический метод определения массовой доли элементов в углеродистых, легированных, высоколегированных сталях. Стандарт применим для определения массовой доли элементов в анализируемых растворах как с использованием, так и без использования внутреннего стандарта |
|