Скачать ГОСТ 31997-2012 Лампы миниатюрныеДата актуализации: 01.06.2025 ГОСТ 31997-2012
Лампы миниатюрные
| Обозначение: |  ГОСТ 31997-2012 |
| Статус: | действующий |
| Название рус.: | Лампы миниатюрные | | Дата актуализации текста: | 01.01.2021 | | Дата актуализации описания: | 01.07.2023 | | Дата регистрации: | 03.12.2012 | | Дата издания: | 07.04.2014 | | Дата введения: | 01.01.2014 | | Содержит требования: | IEC 60983(1995) | | Нормативные ссылки: | ГОСТ 20.57.406-81; ГОСТ 15150-69; ГОСТ 15543.1-89; ГОСТ 16962.1-89; ГОСТ 16962.2-90; ГОСТ 17516.1-90; ГОСТ 17616-82; ГОСТ 28108-89 | | Область применения: | Настоящий стандарт распространяется на следующие миниатюрные галогенные и негалоген-ные лампы на номинальное напряжение до 30 В и номинальную мощность до 25 Вт: - лампы для дорожных транспортных средств (раздел 2), не предусмотренные [1] и не включенные в [3]; - лампы для электрических карманных фонарей (раздел 3); - лампы для рудничных головных светильников (раздел 4). Настоящий стандарт устанавливает требования к размерам, электрическим и световым параметрам, а также к продолжительности горения и механической прочности ламп | |
                                     
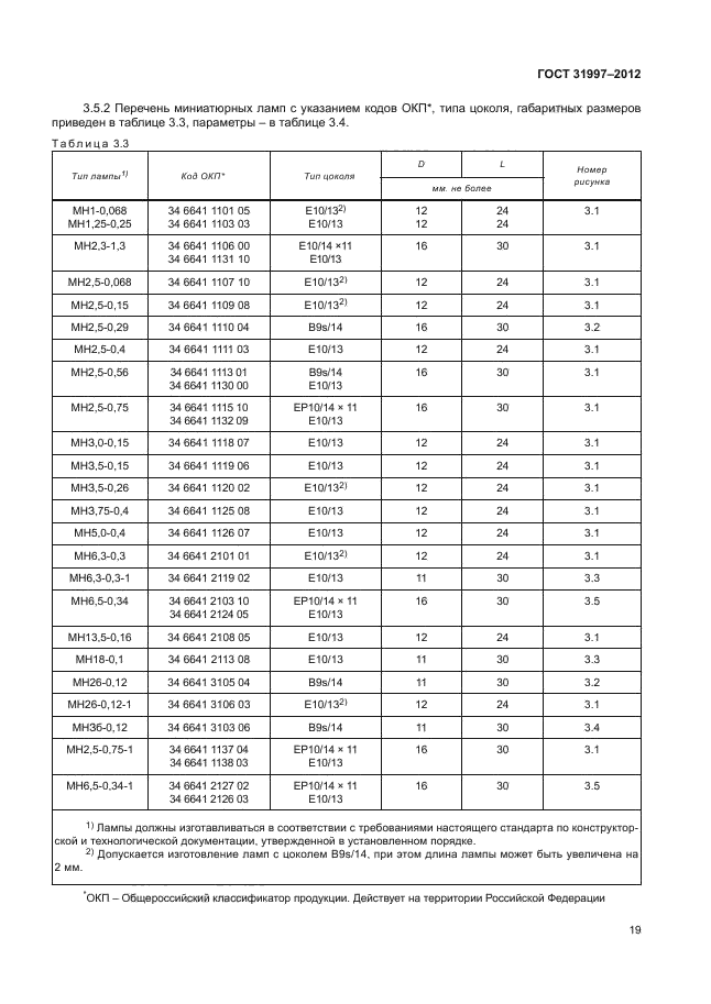
|