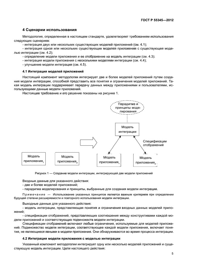
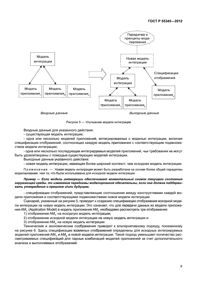
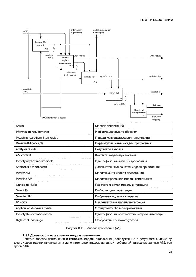
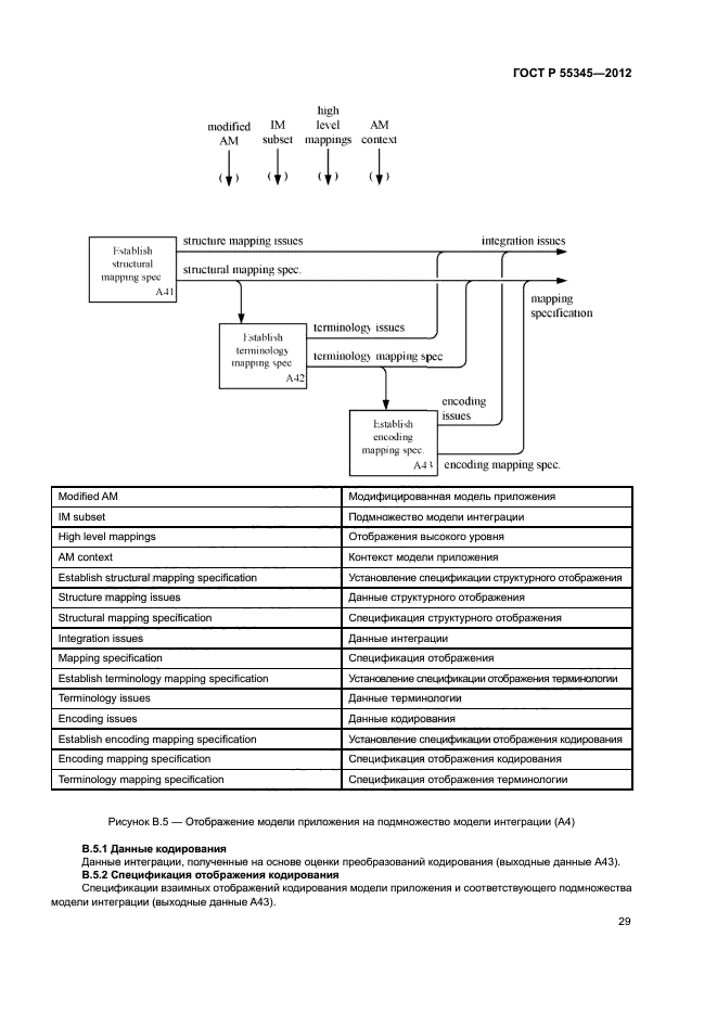
Скачать ГОСТ Р 55345-2012 Системы промышленной автоматизации и интеграция. Интеграция промышленных данных для их обмена, обеспечения доступа и коллективного использования. Часть 2. Интеграция и методология отображенияДата актуализации: 01.06.2025 ГОСТ Р 55345-2012
Системы промышленной автоматизации и интеграция. Интеграция промышленных данных для их обмена, обеспечения доступа и коллективного использования. Часть 2. Интеграция и методология отображения
| Обозначение: |  ГОСТ Р 55345-2012 |
| Статус: | действующий |
| Название рус.: | Системы промышленной автоматизации и интеграция. Интеграция промышленных данных для их обмена, обеспечения доступа и коллективного использования. Часть 2. Интеграция и методология отображения | | Дата актуализации текста: | 01.06.2021 | | Дата актуализации описания: | 01.07.2023 | | Дата издания: | 02.11.2020 | | Дата введения: | 01.01.2014 | | Аутентичен стандартам: | ISO/TS 18876-2:2003 | | Нормативные ссылки: | ISO/IEC 8824-1:1998;ISO 10303-1:1994;ISO/TS 18876-1:2003 | | Область применения: | Настоящий стандарт определяет архитектуру, методологию и другие спецификации для интеграции промышленных данных с целью их обмена, организации доступа и коллективного использования. Настоящий стандарт распространяется на: - интеграцию данных, которые могут быть: - взяты из различных источников для различного контекста модели, - описаны различными моделями; - определены на различных языках моделирования; - коллективное использование данных различными приложениями с помощью архитектуры системы интеграции; - разрешение конфликтов между моделями, разработанными с различными целями; - транслирование данных из одной системы кодирования в другую;транслирование модели с одного языка моделирования на другой | |
                                           
|