| Обозначение: |  ГОСТ 31610.11-2012 |
| Статус: | действующий |
| Название рус.: | Электрооборудование для взрывоопасных газовых сред. Часть 11. Искробезопасная электрическая цепь (i) |
| Дата актуализации текста: | 01.01.2021 |
| Дата актуализации описания: | 01.01.2026 |
| Дата регистрации: | 03.12.2012 |
| Дата издания: | 07.03.2014 |
| Дата введения: | 15.02.2014 |
| Дата окончания срока действия: | 01.01.2027 |
| Аутентичен стандартам: | IEC 60079-11(2006) |
| На территории РФ пользоваться: | ГОСТ 31610.11-2025 |
| Нормативные ссылки: | IEC 60079-0(2004);IEC 60079-7;IEC 60079-25;IEC 6079-27;IEC 60085;IEC 60112;IEC 60127;IEC 60317-3;IEC 60317-7;IEC 60317-8;IEC 60317-13;IEC 60529;IEC 60664-1(2002);IEC 60664-3;IEC 60664-1;ANSI/UL 248-1 |
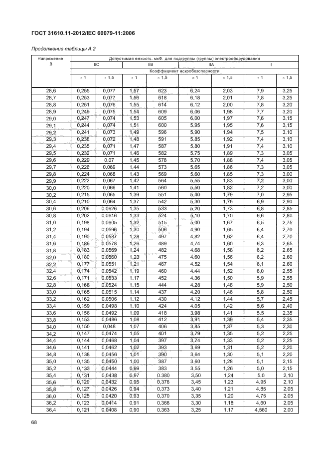
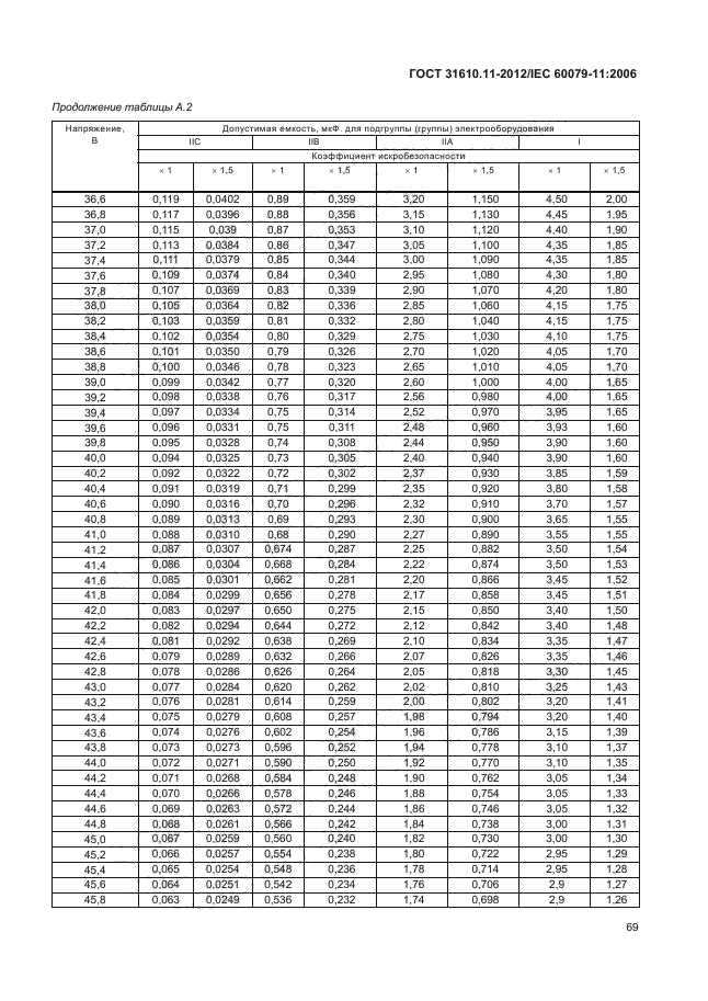
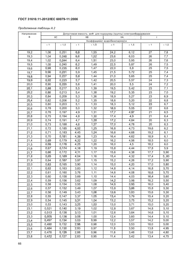
| Область применения: | Настоящий стандарт устанавливает требования к конструкции и методам испытаний искробезопасного электрооборудования, предназначенного для применения во взрывоопасных газовых средах, а также связанного электрооборудования, предназначенного для подключения к искробезопасным цепям, которые находятся в таких средах |
|